Comment les sections sont ajoutées
Une fois que vous avez déterminé empiriquement que la raison de la température fraîche dans la maison n'est pas du tout un radiateur obstrué, vous devriez trouver un magasin qui vend des équipements de chauffage non loin de votre maison (afin de ne pas avoir à voyager loin et ainsi perdre votre temps). Vous devez acheter les mêmes sections que votre radiateur est équipé - en fonte, en aluminium ou en bimétallique.
Il ne devrait pas s'avérer que vous choisissez des sections inappropriées - à cause d'une telle erreur, vous ne pourrez tout simplement pas les ajouter, c'est-à-dire que l'argent dépensé sera jeté au vent, alors soyez prudent. La procédure de constitution des sections est réalisée dans la même séquence d'actions pour tous les types de radiateurs de chauffage.

Pour joindre les sections, vous avez besoin d'un écrou de connexion - mamelon
Nous procédons directement à l'augmentation du nombre de sections. La première étape consiste à dévisser le pied de lit à l'aide de la clé de radiateur du côté auquel vous prévoyez d'ajouter un ou plusieurs éléments. Après avoir dévissé le futorka, un mamelon (écrou de connexion) est appliqué sur la section où les sections sont jointes. Il est nécessaire de prendre en compte la caractéristique importante suivante: les filetages aux différentes extrémités du mamelon sont différents et, pour installer correctement les nouvelles sections, vous devez être guidé par les règles suivantes:
- Le côté droit du mamelon doit être dirigé vers le côté où la connexion avec le nouvel élément sera établie;
- En conséquence, celui de gauche est vers les sections déjà présentes du radiateur de chauffage.
Afin d'éviter d'autres fuites de batterie, vous devez mettre les joints intersectionnels du mamelon (ils peuvent être en caoutchouc, parasite ou gel)
Dans le même temps, vous devez les mettre soigneusement et soigneusement - cela garantira que le joint sera situé aussi uniformément que possible, sans distorsions indésirables. Ensuite, vous devez resserrer le fil
Cette action doit également être effectuée sans mouvements brusques, dans un rythme tranquille et avec précaution. Si vous souhaitez construire un radiateur de chauffage de haute qualité, il ne peut être question d'aucune précipitation.


Pour éviter les fuites, un joint d'intersection est nécessaire.
Il est hautement indésirable d'endommager le fil métallique - à cause de cela, les problèmes les plus inoffensifs ne peuvent apparaître, dont la solution devra consacrer du temps et des ressources financières supplémentaires.
Le radiateur agrandi doit être replacé sur le support et rebranché au tuyau de chauffage central. Pour ce faire, vous devez vous armer d'une clé de diamètre et de remorquage appropriés, ce qui est nécessaire pour envelopper les filets de tuyau lors du vissage sur le radiateur.
Il n'est pas difficile d'ajouter des sections à un radiateur de chauffage, pour cela, vous n'avez pas besoin de travailler dans une équipe d'installateurs de chauffage pendant 10 ans. Mais vous ne pouvez pas vous passer d'une approche sérieuse, de la disponibilité d'outils élémentaires et de la suppression de votre temps personnel par ce processus. Cependant, vous pouvez également recourir à la deuxième option pour résoudre le problème du chauffage insuffisant de la pièce: devenir client d'une entreprise fournissant de tels services, dont les employés feront tout eux-mêmes, rapidement et efficacement.
Accumulation - comment monter correctement les radiateurs
Le raccordement des sections de radiateurs bimétalliques est effectué dans la séquence d'opérations suivante:
- Le radiateur retiré est installé sur une base plate et une section supplémentaire est placée en face. Il faut tenir compte du fait que l'un de ses côtés est équipé d'un filetage à droite et l'autre d'un filetage à gauche. Ensuite, vous devez prendre le mamelon en le positionnant de manière à réaliser la coïncidence des fils sur les sections à connecter. Ensuite, il est vissé sur l'extrémité gauche de la batterie par un fil. Une fois la procédure terminée, procédez de la même manière avec l'élément pour la partie inférieure du radiateur.
- Après cela, les sections, préparées pour la connexion, sont étroitement attachées les unes aux autres. Un joint est posé entre eux, mesurant la distance au mamelon (cela nécessite une clé de radiateur). Il est inséré à la longueur mesurée dans une niche spéciale à l'extrémité opposée du radiateur. Afin de tourner la clé de radiateur, une clé à tube est utilisée.
- Lors du vissage du mamelon, il est important de s'assurer qu'il plonge simultanément dans les sections de batterie opposées. À la fin de cette procédure, trois tours complets sont effectués à l'aide de la clé de radiateur. Cela garantit que le mamelon est fixé aussi étroitement que possible.
- À l'étape suivante, la clé du radiateur est déplacée de l'autre côté de l'appareil de chauffage. La procédure de vissage s'effectue dans le même ordre que pour la partie inférieure. Une condition importante: à la fin du processus, les sections commutées doivent être aussi serrées que possible.
- À la fin, des bouchons latéraux et des joints en paronite sont installés sur la batterie. À ces fins, vous aurez besoin d'une clé à tube. Il est important de s'assurer qu'ils sont vissés le plus fermement possible afin de créer une bonne étanchéité. Cela garantira qu'aucune eau ne s'infiltre à la jonction. Il s'agit de la dernière opération de constitution d'une batterie de système de chauffage.


Installation de radiateurs en aluminium
L'assemblage et la mise en place d'un système de chauffage est une entreprise responsable, les professionnels s'en chargeront au mieux. Mais si vous le souhaitez, vous pouvez effectuer l'installation de radiateurs en aluminium de vos propres mains.
Vous devez d'abord assembler l'appareil:
- Visser les chevilles et chevilles fournies.
- Assemblez les thermostats et connectez les vannes d'arrêt à l'entrée et à la sortie de l'appareil.
- Vérifiez les mamelons et fixez les vannes d'air.
Le schéma de montage-démontage de l'appareil est joint au kit. Il est préférable que l'assemblage soit effectué par un spécialiste, alors il y aura une garantie que tous les robinets sont installés correctement. Il est interdit de nettoyer l'aluminium avec des abrasifs lors de l'installation d'adaptateurs ou de la construction de sections - une fuite de liquide de refroidissement peut commencer.
Attention! Il est nécessaire de visser les vannes d'air de sorte qu'à la fin du processus, leurs têtes de sortie pointent vers le haut. Après avoir marqué l'emplacement d'installation de la batterie sous la fenêtre conformément aux tirets indiqués, les supports sont fixés au mur
Pour ce faire, vous devez percer des trous avec un perforateur et insérer des chevilles en plastique, puis visser les supports dans celles-ci. Lors du vissage des fixations, de temps en temps, il est nécessaire d'y accrocher un radiateur afin de maintenir une distance de 5 cm du mur
Après avoir marqué l'emplacement de l'installation de la batterie sous la fenêtre conformément aux tirets indiqués, les supports sont fixés au mur. Pour ce faire, vous devez percer des trous avec un perforateur et insérer des chevilles en plastique, puis visser les supports dans celles-ci. Lors du vissage des fixations, il est de temps en temps nécessaire d'y accrocher un radiateur afin de maintenir une distance de 5 cm du mur.
Schémas de connexion de la batterie
L'appareil peut être connecté de plusieurs manières:
Diagonale. Les experts le considèrent comme le plus économe en énergie. Le tuyau d'alimentation est connecté au tuyau supérieur et le tuyau de sortie est connecté au tuyau inférieur, mais du côté opposé du radiateur. Avec ce schéma, la batterie dégage l'énergie thermique maximale reçue de l'eau chaude dans l'espace. L'inconvénient de cette méthode est que les tuyaux qui courent sur le dessus ne s'intègrent pas bien dans la conception de la pièce.
Côté.Le tuyau d'alimentation en liquide de refroidissement est relié au raccord latéral (droit ou gauche), le tuyau de retour est relié au parallèle inférieur. Si les tuyaux sont introduits dans l'ordre inverse, le transfert de chaleur de l'appareil diminuera de 50%. Un tel schéma pour connecter des radiateurs de chauffage en aluminium fonctionne de manière inefficace si les sections sont d'une taille non standard ou si leur nombre dépasse 15.
Du point de vue du design, les radiateurs en aluminium avec des connexions inférieures gagnent. Avec une telle disposition, les tuyaux ne sont pas visibles, ils sont cachés dans le sol ou dans le mur. Les batteries sont connectées au système par les tuyaux situés au bas des instruments. En règle générale, les radiateurs connectés par le bas sont montés sur des supports au sol. La batterie est fixée au mur avec un crochet, juste pour maintenir l'équilibre.


Schémas de câblage pour radiateurs de chauffage en aluminium
Important! Les batteries en aluminium ont des paramètres de tuyau standard, vous n'avez donc pas besoin d'acheter d'adaptateurs supplémentaires du radiateur aux tuyaux. L'appareil est également livré avec un robinet Mayevsky, conçu pour purger l'air.
Connexion et mise en service
Avant d'installer des appareils en aluminium, le système autonome est rincé à l'eau. Les solutions alcalines ne peuvent pas être utilisées.
Important! L'aluminium est facile à froisser et à rayer avec des outils, il est donc préférable de monter la batterie dans son emballage en plastique d'origine. Une fois connecté, le polyéthylène peut être retiré
Dans un effort pour connecter des radiateurs de chauffage en aluminium sans grand coût, certains propriétaires utilisent des raccords de tuyaux et de radiateurs aveugles et non séparables. Mais chauffer une maison dans l'hémisphère nord n'est pas un point sur lequel économiser de l'argent. Il serait plus sage d'installer des assemblages filetés «américains» à déconnexion rapide, lorsque les tuyaux sont assemblés et déconnectés au moyen d'un écrou-union.
La procédure de connexion des radiateurs au système de chauffage:
- Assurez-vous qu'il n'y a pas d'eau dans le système ou qu'il est coupé aux points d'installation.
- Accrochez le radiateur et connectez-vous au pipeline avec des raclettes.
- Sceller tous les raccords filetés avec du lin sanitaire. Assez de 4 à 5 tours dans le sens du fil.
- Mettez le système sous pression.


Batterie en aluminium connectée au système de chauffage
L'installation d'un radiateur de chauffage en aluminium peut se faire de manière indépendante, mais il serait plus sage de confier le dossier à des spécialistes disposant de tous les permis nécessaires pour effectuer de tels travaux. La moindre imprécision dans l'installation peut entraîner des fuites et un fonctionnement inefficace du système de chauffage.
Technique pour effectuer des travaux sur la connexion des sections de radiateur


L'extension des radiateurs est une compétence utile pour un artisan de la maison. Sachant comment joindre les sections, il ne sera pas difficile de prévoir votre propre microclimat dans chaque pièce.
Avant de connecter deux radiateurs, la puissance est calculée. La formule est simple - 1 kW de puissance thermique est nécessaire pour 10 m2. Les performances de la section sont indiquées dans la fiche technique. Ces données seront utiles pour les calculs. Après cela, vous devez acheter le nombre d'éléments requis, trouver des outils et assembler un appareil de chauffage.
Outils et accessoires pour le travail


Assembler un radiateur de chauffage de vos propres mains vous sera utile:
- clé ou clé à molette;
- clé de radiateur;
- bouchons avec filetages droit et gauche - 1 pièce;
- mamelons;
- joints en paronite;
- entretoises de section transversale en matériau durable et flexible;
- sections de batterie;
- papier de verre de la fraction n ° 120.
Les gants en coton sont utiles pour la protection. Il est plus pratique d'installer les piles ensemble, un assistant n'interférera pas.
Processus d'accumulation de batterie étape par étape
L'assemblage du radiateur de chauffage à faire soi-même est effectué à tout moment. Si la saison de chauffage a déjà commencé, le réseau doit être coupé, le liquide de refroidissement doit être vidangé du circuit et le chauffage doit être démonté.
Comment connecter la batterie:
- Posez le radiateur démonté sur une surface horizontale. Pour éviter de rayer la surface de la batterie et la table (sol), posez un chiffon. Retirez tous les éléments supplémentaires - robinets, capteurs de température. Pour rincer la batterie, mettez-la dans une baignoire, ouvrez les bouchons et rincez avec un jet d'eau.
Vérifiez l'intégrité des raccords filetés, les extrémités de l'appareil de chauffage. S'il y a des accumulations de dépôts, poncez les joints. Placez à nouveau la batterie sur une surface plane et horizontale. La zone est sélectionnée à plat pour assurer l'étanchéité du joint. La moindre courbure de la position entraînera une articulation inégale. Pour les joints, choisissez uniquement des joints en paronite. C'est un matériau durable et flexible qui peut résister à la chaleur sans perte de qualité. Vérifiez la qualité du filetage du mamelon
Une coupe lisse et uniforme sans écaillage est la clé d'un bon accostage. Déplacez les sections en insérant des entretoises entre elles. Commencez soigneusement à serrer le mamelon. La pièce a un filetage à gauche d'un côté et un filetage à droite de l'autre.
Cela signifie que lors de la rotation, les deux sections sont attirées. Il est plus pratique d'effectuer des travaux avec une clé de radiateur spéciale. L'outil peut être livré avec une batterie, mais il est également vendu séparément.


- Saisissez un peu les sections, vérifiez la régularité des joints et serrez jusqu'à ce qu'elles soient bien serrées. Le nombre de tours du mamelon sur chaque section doit être égal.
Sachant comment augmenter la batterie de chauffage, il est facile d'assembler un système avec les indicateurs de puissance requis. Après avoir construit les sections, l'étanchéité du radiateur est vérifiée.
Pour un chèque de ménage, vous aurez besoin de:
- un morceau de tuyau d'une section transversale de 15 mm;
- pompe automobile avec manomètre;
- mamelon du pneu.
Maintenant, soudez le mamelon au tuyau et insérez-le dans le radiateur. Cette conception est nécessaire pour les tests de pression d'air. Installez un bouchon sur l'une des ouvertures d'entrée du radiateur. Connectez une pompe de voiture avec un manomètre à la tétine. Pomper de l'air à une pression de 1 bar. Si l'étanchéité des joints est rompue, un sifflement d'air apparaîtra. Vous devez trouver une fuite, resserrer le mamelon ou changer le joint. Pressurisez à nouveau. S'il n'y a pas de fuite, installez le radiateur dans le réseau.
Le test de pression d'eau est effectué de la même manière. Au lieu de l'air, de l'eau colorée est pompée. Laisser l'appareil reposer pendant 5 heures, inspecter les fuites. S'il y a un joint qui fuit, de l'eau s'échappera. Resserrez les joints, vérifiez à nouveau, installez la batterie dans le système.
La batterie longue durée augmente de poids. Avant d'installer le radiateur, il est conseillé de renforcer les fixations, de visser des supports supplémentaires. Cela évitera à l'appareil de s'effondrer, car la batterie sera encore plus lourde avec le liquide de refroidissement. L'appareil est intégré au réseau à l'endroit choisi, en tenant compte de l'augmentation de la longueur de la batterie.
Test du radiateur
L'essai de pression d'air comprimé à la maison est le meilleur moyen de vérifier la qualité de construction d'un radiateur. Pour cela, vous aurez besoin de:
- Morceau de tuyau Du-15.
- Mamelon de pneu.
- Pompe de voiture avec manomètre.
Le mamelon de la caméra de voiture doit être soudé au tube, qui est inséré dans le radiateur. Pour vérifier, il suffit de créer une pression dans un radiateur d'une capacité de 1 atmosphère à l'aide d'une pompe. Si vous n'entendez pas le sifflement de l'air sortir de l'appareil, alors toutes les actions ont été effectuées correctement, les joints sont de haute qualité et les mamelons sont bien tordus.
Vous pouvez vérifier l'étanchéité de la structure en utilisant de l'eau savonneuse ou de l'eau teintée. Il suffit de remplir la batterie et de la laisser pendant quelques heures, en observant si de l'eau fuit quelque part ou non.
Ce n'est qu'après le test que la batterie peut être remise à sa place et connectée au système de chauffage. Si plusieurs sections ont été étendues, il vaut la peine de vérifier si les supports supporteront le nouveau poids du radiateur. Dans ce cas, il est préférable de jouer la carte de la sécurité et d'ajouter un autre support au mur, qu'à un moment inattendu, toute la structure s'effondrera sur le sol.
Au fur et à mesure que les sections du radiateur bimétallique sont assemblées, elles sont également retirées, uniquement dans l'ordre inverse. En règle générale, il n'y a rien de difficile dans ce travail.Par conséquent, en posant la question de savoir s'il est possible d'ajouter des sections à un radiateur bimétallique par vous-même, la réponse sera oui. Avec tous les outils nécessaires à portée de main, même un débutant peut gérer ce travail.
La seule chose à retenir est que le nombre maximum de sections dans un radiateur bimétallique ne doit pas dépasser 16 pièces. S'il y en a plus, il vaut la peine de diviser la batterie en 2 parties. Par exemple, les calculs ont montré que 27 sections sont nécessaires par pièce, ce qui signifie que le radiateur doit être divisé en deux structures, laissant 13 sections dans l'une et 14 sections dans l'autre.
Souvent, les résidents des maisons et des appartements sont confrontés à un problème très grave: malgré la fourniture systématique d'un liquide de refroidissement à la température requise, il y a un manque de chaleur dans la maison et y rester provoque un certain inconfort. Pour résoudre ce problème, vous devrez augmenter le radiateur de chauffage. Quel est ce genre de travail? L'essence de cette procédure est d'ajouter des sections au radiateur, grâce auxquelles une température confortable dans le logement sera atteinte.
Des sections au radiateur sont ajoutées dans les cas où vous avez besoin de chauffer une grande pièce
Vous devrez d'abord trouver une clé pour les radiateurs, vous devez l'avoir - si pour une raison quelconque vous ne pouvez pas la trouver, vous devez la prendre pour un usage temporaire chez un ami ou un voisin, ou aller au magasin pour en acheter une nouvelle une. Donc, avec cette clé, vous devez retirer le radiateur, le privant de connexions au système de chauffage. Ensuite, nous le transportons au bain et y envoyons de l'eau.
Schémas de connexion
Le système le plus sûr pour connecter des radiateurs de chauffage dans une maison privée avec une mise en bouteille et une chaudière est un Leningrad monotube. Les appareils de chauffage sont connectés en parallèle avec le remplissage, qui est posé le long du périmètre de la pièce.


Un peu moins cher en installation, mais beaucoup plus problématique en fonctionnement est un circuit utilisant une connexion en série de batteries. Qu'il suffise de dire que leur réglage indépendant est impossible dans ce cas.


Version monotube avec connexion en série.
Enfin, un système à deux tuyaux consiste à connecter chaque radiateur en tant que pont entre les lignes d'alimentation et de retour. Il est peu pratique en ce qu'il nécessite l'équilibrage déjà mentionné - limitant le passage des appareils de chauffage au plus près de la chaudière.
Quels peuvent être les schémas de raccordement des radiateurs de chauffage à la ligne d'alimentation?
- Unilatéral. les connexions sont connectées aux fiches de radiateur supérieure et inférieure à droite ou à gauche. Il est compact, mais rend le chauffage de l'appareil inégal: les dernières sections seront toujours plus froides que les premières.
- De bas en bas. Dans ce cas, la batterie doit être équipée d'un évent. Les avantages de la solution sont que le radiateur, avec une telle connexion, ne nécessite pas de rinçage et chauffe toujours sur toute sa longueur.
- Diagonale. Le chauffage des sections est encore plus uniforme; cependant, le coin inférieur d'un instrument muni d'un bouchon borgne s'enlisera progressivement.


Options de connexion pour les connexions.
Installation et raccordement de bricolage de radiateurs de chauffage
L'appareil ou la reconstruction du système de chauffage implique l'installation ou le remplacement d'appareils de chauffage. La bonne nouvelle est que si vous le souhaitez, vous pouvez le faire vous-même sans faire appel à des spécialistes. Comment l'installation des radiateurs de chauffage doit avoir lieu, où et comment les placer, ce qui est nécessaire pour effectuer les travaux - tout cela est dans l'article.


L'installation à faire soi-même de radiateurs de chauffage est possible
Radiateurs de chauffage bimétalliques
Caractéristiques comparatives avec d'autres types de batteries


La photo montre un appareil grand et étroit.
Vous devez d'abord comprendre ce que sont les radiateurs de chauffage et en quoi ils diffèrent les uns des autres.
Listons les principaux types:
- Les batteries en fonte sont l'un des types les plus courants que l'on trouve dans la plupart des appartements de style soviétique. C'est un système de sections en fonte connectées avec des parois assez épaisses et une grande masse. Diffère par sa résistance et sa durabilité élevées, cependant, son efficacité et son transfert de chaleur sont faibles, et vous pouvez également noter une grande inertie thermique;
- Les registres tubulaires en acier sont un système de tuyaux d'un diamètre suffisamment grand, ou un tuyau sous la forme d'un coude en forme de S (par exemple, un sèche-serviettes). Ce type d'appareil est généralement installé dans de grandes salles - salles de concert, cinémas, complexes sportifs, supermarchés. Ils se distinguent par une puissance élevée et un grand volume de liquide de refroidissement;
- Panneaux chauffants en acier. Ce sont des plaques d'acier profilées soudées, à l'intérieur desquelles se trouvent des canaux pour la circulation du liquide de refroidissement. Ils ont une résistance plutôt faible aux coups de bélier et une faible résistance, sont sujets à la corrosion et ne sont pas très fiables;
- Les radiateurs en aluminium sont un type de batterie plus moderne, qui se distingue par un transfert de chaleur et une efficacité accrus, un faible volume de liquide de refroidissement et un faible poids de l'appareil. En raison de leur faible inertie thermique, ils se prêtent bien au contrôle automatique et manuel de la température. Ils sont exigeants sur la qualité du liquide de refroidissement et son acidité, ont une résistance et une durée de vie moyennes;
- Les batteries en cuivre sont un système de tubes avec des ailettes à plaques. Ils se distinguent par le transfert de chaleur et l'efficacité les plus élevés, une résistance élevée et une résistance aux coups de bélier, l'absence de corrosion et une longue durée de vie. Le seul inconvénient des unités en cuivre est le prix élevé;
- Les radiateurs bimétalliques, à l'extérieur et dans leur conception, ressemblent à des dispositifs en aluminium à la différence que les parois intérieures des canaux sont en acier ou en cuivre. Ainsi, il est possible d'augmenter l'efficacité et le transfert de chaleur de la batterie, tout en conservant sa résistance et sa durabilité.


La batterie en fonte familière à beaucoup.
Pour comprendre la principale caractéristique distinctive d'un dispositif bimétallique, il faut mieux comprendre sa conception. La tâche principale de toute batterie sur un liquide de refroidissement est d'assurer un transfert de chaleur maximal du liquide de refroidissement à l'environnement, tout en ayant une marge suffisante de résistance mécanique et à la corrosion pour un fonctionnement efficace à long terme.
Le degré de transfert de chaleur dépend directement de la conductivité thermique du métal et de l'épaisseur des parois. Les matériaux les plus thermiquement conducteurs sont l'aluminium et le cuivre, de sorte que les appareils les plus efficaces sont fabriqués à partir de métaux non ferreux.


Les dissipateurs de chaleur les plus efficaces sont en cuivre.
En revanche, l'acier et les métaux ferreux présentent la résistance la plus élevée. Mais ils sont sujets à la corrosion et ont une faible conductivité thermique. Dans le même temps, l'acier est beaucoup moins cher que le cuivre et l'aluminium, ce qui est également un avantage.
La conception du radiateur bimétallique se distingue par le fait que les parois intérieures des canaux sont en acier anticorrosion durable ou en cuivre pur, et les parois extérieures et les ailettes sont en aluminium léger et conducteur de la chaleur. Cette solution a permis de combiner les avantages de l'acier et des métaux non ferreux en un seul appareil.


La surface intérieure des canaux et du collecteur est en acier.
Important! Les radiateurs bimétalliques ont combiné les avantages des produits en métaux ferreux et non ferreux, devenant ainsi le type d'appareil de chauffage le plus progressiste et le plus moderne.
Avantages et inconvénients


Le convecteur s'intègre parfaitement dans un intérieur moderne.
Considérez les aspects positifs et négatifs de l'utilisation d'agrégats avec des métaux combinés dans la composition. Commençons par les avantages:
Sélection du radiateur
Vous devez commencer par le choix d'un radiateur, et le principal critère de choix sera la pression de service pour laquelle le radiateur est conçu.Pour une maison privée avec son propre système de chauffage, un radiateur avec une pression de service de 6-7 atmosphères suffira, mais si vous devez connecter un radiateur au système de chauffage central d'un immeuble d'habitation, il doit résister à une pression d'au au moins 10 atmosphères.
Actuellement, le consommateur se voit proposer deux options pour les radiateurs en aluminium - standard ou européen et renforcé. Ce dernier peut travailler sous pression jusqu'à 12 atmosphères. Lors du raccordement à un système de chauffage central, vous devez choisir exactement parmi les radiateurs renforcés.


Le nombre de sections joue un grand rôle
Ensuite, vous devez décider du nombre de sections requis. Pour ce faire, nous déterminons la quantité de chaleur. Nécessaire pour chauffer la pièce et diviser par le transfert de chaleur d'une section du radiateur sélectionné.
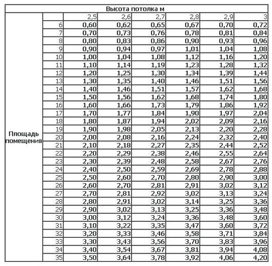
La quantité de chaleur requise pour une pièce standard peut être prise égale à 1 kW pour 10 m2 de surface de la pièce. Pour les locaux non standard et les calculs plus précis, nous utiliserons un tableau prêt à l'emploi:


Tableau de puissance du radiateur
Il convient de rappeler que le schéma de connexion de la batterie de plus de 12 sections doit être double face, diagonale ou en selle. Avec un schéma de connexion unilatéral de la batterie à partir d'un grand nombre de sections, une "poche" d'eau froide se formera du côté du radiateur opposé aux tuyaux. Les sections "supplémentaires" ne fonctionneront tout simplement pas, nous obtenons un ballast dangereux.
En utilisant la décharge forcée, la batterie peut être étendue à 24 sections même avec une alimentation unidirectionnelle, mais dans ce cas, le radiateur doit être renforcé.
Il convient de rappeler qu'il est nécessaire de fournir le liquide de refroidissement aux radiateurs renforcés sous haute pression uniquement à travers des tuyaux métalliques. Le métal-plastique ne peut pas résister à une telle pression, et les conséquences seront les plus désastreuses.
Il convient également de tenir compte du fait que le transfert de chaleur du radiateur indiqué dans la documentation n'est pertinent que pour l'alimentation unilatérale ou diagonale du liquide de refroidissement vers le radiateur. Lorsque vous utilisez l'alimentation inférieure, n'hésitez pas à soustraire 10 à 15 pour cent.
Si le système de chauffage est installé dans une maison privée, il est possible de choisir vous-même le schéma général d'organisation du chauffage - un ou deux tuyaux.
Travail préparatoire
Avant de construire la batterie, vous devez non seulement faire des calculs, mais également acheter les outils nécessaires. Ceci est particulièrement important si vous devez faire tout le travail vous-même. Pour un travail de qualité, vous aurez besoin de:
- clé à pipe;
- clé de radiateur;
- mamelons spéciaux (doivent être inclus avec la section batterie);
- bouchons avec filetages gauche et droit;
- joints installés entre les sections;
- toile émeri;
- joints paronite.
Lorsque les outils sont à portée de main, vous pouvez commencer les travaux préparatoires.
- Tout d'abord, le radiateur est retiré, sur lequel la section sera construite. Pour ce faire, l'alimentation en liquide de refroidissement du système est fermée et la batterie est déconnectée du tuyau.
- Le radiateur retiré doit être soigneusement lavé de la poussière et vérifié pour la contamination à l'intérieur. Bien que l'indicateur d'acidité de l'eau ne soit pas terrible pour l'acier inoxydable, le noyau n'est pas «à l'abri» des débris et du tartre qui se déposent sur ses parois. Ils doivent être retirés en rinçant le radiateur avec un agent spécial.
- Vérifiez l'intégrité et la qualité du filetage des joints. Il arrive que des excroissances se forment au niveau des articulations, vous devez donc traiter chaque trou fileté avec du papier de verre.
Même si les excroissances ne sont pas trouvées, il vaut la peine de marcher avec une toile d'émeri le long du fil. Cela éliminera tous les débris qui pourraient empêcher le joint de créer une bonne étanchéité.
- Une fois l'ancienne batterie nettoyée, elle doit être placée sur une surface plane préalablement préparée. Ceci est important, car il est nécessaire de connecter des radiateurs bimétalliques les uns aux autres sans distorsions, même les plus insignifiantes.Subtil au début, ils peuvent conduire à un accident grave dans le futur.
Ce n'est qu'après la préparation que vous pouvez commencer à créer de nouvelles sections.
Placement des appareils de chauffage
Il est d'une grande importance non seulement de savoir comment connecter les radiateurs de chauffage les uns aux autres, mais également de leur emplacement correct par rapport aux structures du bâtiment. Traditionnellement, des radiateurs sont installés le long des murs des pièces et localement sous les fenêtres pour réduire la pénétration des courants d'air froid dans l'endroit le plus vulnérable.
Il y a des instructions claires à ce sujet dans le SNiP pour l'installation des équipements thermiques:
- L'espace entre le sol et le bas de la batterie ne doit pas être inférieur à 120 mm. Avec une diminution de la distance entre l'appareil et le sol, la distribution du flux de chaleur sera inégale;
- La distance entre la surface arrière et le mur sur lequel le radiateur est monté doit être de 30 à 50 mm, sinon son transfert de chaleur sera perturbé;
- L'espace entre le bord supérieur du radiateur et le rebord de la fenêtre est maintenu entre 100 et 120 mm (pas moins). Sinon, le mouvement des masses thermiques peut être difficile, ce qui affaiblira le chauffage de la pièce.
Appareils de chauffage bimétalliques
Pour comprendre comment connecter des radiateurs bimétalliques les uns aux autres, vous devez savoir que presque tous conviennent à tout type de connexion:
- Ils ont quatre points de connexion possible - deux supérieurs et deux inférieurs;
- Équipé de bouchons et d'un robinet Mayevsky à travers lequel l'air collecté dans le système de chauffage peut être évacué;
La connexion diagonale est considérée comme la plus efficace pour les batteries bimétalliques, en particulier lorsqu'il s'agit d'un grand nombre de sections de l'appareil. Bien que les batteries très larges, équipées de dix sections ou plus, ne soient pas souhaitables à utiliser.
Conseils! Il est préférable de réfléchir à la question de savoir comment connecter correctement deux radiateurs de chauffage de 7 à 8 sections de section au lieu d'un appareil de 14 ou 16 sections. Ce sera beaucoup plus facile à installer et à entretenir.
Une autre question - comment connecter des sections d'un radiateur bimétallique peut se poser lors de la réorganisation des sections d'un radiateur dans diverses situations:


L'endroit où vous prévoyez d'installer le radiateur est également important.
- En cours de création de nouveaux réseaux de chaleur;
- S'il est nécessaire de remplacer un radiateur défectueux par un nouveau - bimétallique;
- En cas de surchauffe, vous pouvez accumuler la batterie en connectant des sections supplémentaires.
Batteries en aluminium
Intéressant! Dans l'ensemble, il convient de noter que la connexion diagonale est une excellente option pour tout type de batterie. Je ne sais pas comment connecter les radiateurs en aluminium ensemble. connectez-vous en diagonale, vous ne vous tromperez pas!
Pour les réseaux de chauffage de type fermé dans les maisons privées, il est conseillé d'installer des radiateurs en aluminium, car il est ici plus facile d'assurer un traitement adéquat de l'eau avant de remplir le système. Et leur coût est bien inférieur à celui des appareils bimétalliques.


Bien sûr, au fil du temps, en se déplaçant le long des radiateurs, le liquide de refroidissement se refroidit
Bien sûr, vous devrez essayer avant de connecter les sections du radiateur en aluminium pour le regroupement.
Conseils! Ne vous précipitez pas pour retirer l'emballage d'usine (film) des appareils de chauffage installés avant de terminer les travaux de finition dans la pièce. Cela protégera le revêtement du radiateur contre les dommages et la contamination.
https://youtube.com/watch?v=y9a35JHa0TM
Le processus de travail lui-même ne prend pas beaucoup de temps, vous n'avez besoin d'aucune compétence particulière ni d'équipement coûteux, vous pouvez acheter tous les outils nécessaires dans n'importe quelle quincaillerie. Et n'oubliez pas, la connexion ne vous servira longtemps et sans tracas que si vous avez utilisé des matériaux de haute qualité dans votre travail et que vous avez suivi toutes les règles d'installation du système de chauffage.


Nous parlons exactement de ce qui est indiqué dans cette figure.
Dans la vidéo présentée dans cet article, vous trouverez des informations complémentaires sur ce sujet.
Facteurs affectant l'efficacité du chauffage
L'efficacité de la structure chauffante dépend de plusieurs facteurs:
- Disposition des éléments du système de chauffage
... Le degré et l'uniformité du chauffage de la pièce dépendent de l'exactitude de ces travaux et, par conséquent, du montant d'argent dépensé pour chauffer une maison ou un appartement. - Sélection d'équipements de chauffage
... Tout ce qui est nécessaire pour créer un système de chauffage est acquis sur la base d'un calcul professionnel d'indicateurs techniques et financiers. Le fait est que la décision de connecter correctement les radiateurs de chauffage et le choix de l'équipement approprié contribuent à l'obtention d'un transfert de chaleur maximal avec une consommation de carburant minimale. - Méthode de montage
conduites principales, chaudière de chauffage, pompe de circulation, raccordement des batteries de chauffage, éléments de régulation et d'arrêt. Une installation incorrecte de l'un des maillons de la structure de chauffage peut entraîner la défaillance de l'ensemble du système. - Connaissances et compétences spéciales
effectuer des travaux liés à la conception et à l'installation de structures de fourniture de chaleur. Les professionnels dans le domaine de la technologie de chauffage doivent effectuer des calculs et déterminer le schéma de chauffage d'une maison, y compris la possibilité de connecter des radiateurs de chauffage dans un cas particulier. Malgré le fait que la participation de spécialistes entraînera une augmentation du coût de l'organisation du chauffage, vous ne devriez pas économiser sur ce point.
(pas encore de votes)
Types de systèmes
- Système à un tuyau - un pipeline est installé, à travers lequel la source de chaleur est fournie et le fluide résiduaire est évacué. À utiliser de préférence lors de l'installation d'un petit nombre de batteries. Cela se fait généralement lors de l'organisation du chauffage des appartements, où la colonne montante fonctionne dans toutes les pièces. Avec ce schéma, chaque radiateur suivant sera plus froid que le précédent, mais le nombre de tuyaux traversant la pièce diminue.
- Le système à deux tuyaux est la meilleure méthode du dispositif, il permet de maintenir une température uniforme du fluide caloporteur sur tout le circuit. Lors de l'installation de tels systèmes, la conduite d'alimentation est généralement située sous le niveau du rebord de la fenêtre et la conduite de retour au-dessus du socle.
Comment connecter au mieux les radiateurs de chauffage dans un cas ou un autre, nous examinerons ci-dessous, après avoir analysé chaque méthode de connexion séparément.
- Latéral - avec cette méthode, l'alimentation et le retour sont fournis d'un côté. Fonctionne bien avec les structures de chauffage jusqu'à 15 sections;
- Diagonal - il est préférable de l'utiliser sur de longs éléments chauffants. Les communications sont connectées au trou supérieur d'un côté et à la sortie diagonalement opposée.
- La plus basse est l'option la moins efficace, elle nécessite une pression élevée dans le liquide de refroidissement sur toute la longueur des structures de chauffage. Pour préserver le transfert de chaleur, des appareils de chauffage avec un nombre accru de sections sont utilisés. Pour assurer la température normale des maisons privées, il n'est utilisé que s'il y a une pompe de puissance suffisante dans le système de chauffage.
Connexion des radiateurs de chauffage Comment connecter correctement les batteries
Le système de chauffage est créé afin de fournir de la chaleur à toute personne qui vit ou se trouve dans un immeuble résidentiel, un appartement ou un immeuble, tandis que le raccordement des radiateurs de chauffage doit être effectué correctement. La température de l'air dans la pièce comprise entre 18 ° C et 25 ° C est considérée comme confortable. La puissance des appareils de chauffage doit être telle qu'elle compense les pertes de chaleur à travers les murs, portes, fenêtres et autres structures de protection donnant sur la rue.
Le schéma qui détermine le raccordement des radiateurs de chauffage dans votre propre maison est sélectionné au stade de la conception du bâtiment avant le début des travaux de construction. Certes, des mesures d'amélioration ou de réparation de la structure chauffante peuvent être effectuées même pendant l'utilisation des locaux.
Bien sûr, s'il y a une conduite de chauffage central dans la colonie, la meilleure solution au problème de l'approvisionnement en chaleur est de s'y connecter. En l'absence de chauffage centralisé, la disposition d'un système de chauffage autonome devient pertinente.