La conception et le calcul thermique d'un système de chauffage est une étape obligatoire dans l'aménagement du chauffage d'une maison. La tâche principale des activités de calcul est de déterminer les paramètres optimaux de la chaudière et du système de radiateurs.
Vous devez admettre qu'à première vue, il peut sembler que seul un ingénieur peut faire un calcul de génie thermique. Cependant, tout n'est pas si compliqué. Connaissant l'algorithme des actions, il s'avérera d'effectuer indépendamment les calculs nécessaires.
L'article décrit en détail la procédure de calcul et fournit toutes les formules nécessaires. Pour une meilleure compréhension, nous avons préparé un exemple de calcul thermique pour une maison privée.
Normes de régimes de température des locaux
Avant d'effectuer tout calcul des paramètres du système, il est nécessaire, au minimum, de connaître l'ordre des résultats attendus, ainsi que de disposer des caractéristiques standardisées de certaines valeurs tabulaires qui doivent être substituées dans les formules ou laissez-vous guider par eux.
Après avoir effectué des calculs de paramètres avec de telles constantes, on peut être sûr de la fiabilité du paramètre dynamique ou constant recherché du système.

Pour les locaux à diverses fins, il existe des normes de référence pour les régimes de température des locaux résidentiels et non résidentiels. Ces normes sont inscrites dans les soi-disant GOST.
Pour un système de chauffage, l'un de ces paramètres globaux est la température ambiante, qui doit être constante quelles que soient la saison et les conditions ambiantes.
Selon la réglementation des normes et règles sanitaires, il existe des différences de température par rapport aux saisons d'été et d'hiver. Le système de climatisation est responsable du régime de température de la pièce pendant la saison estivale, le principe de son calcul est décrit en détail dans cet article.
Mais la température ambiante en hiver est fournie par le système de chauffage. Par conséquent, nous nous intéressons aux plages de températures et à leurs tolérances pour les écarts pour la saison d'hiver.
La plupart des documents réglementaires stipulent les plages de température suivantes qui permettent à une personne d'être à l'aise dans une pièce.
Pour les locaux non résidentiels de type bureau d'une superficie maximale de 100 m2:
- 22 à 24 ° C - température optimale de l'air;
- 1 ° C - fluctuation admissible.
Pour les locaux de type bureau d'une superficie supérieure à 100 m2, la température est de 21-23 ° C. Pour les locaux non résidentiels de type industriel, les plages de température diffèrent considérablement selon la destination des locaux et les normes de protection du travail établies.


Chaque personne a sa propre température ambiante confortable. Quelqu'un aime qu'il fasse très chaud dans la pièce, quelqu'un est à l'aise lorsque la pièce est fraîche - tout cela est assez individuel
Quant aux locaux d'habitation: appartements, maisons privées, propriétés, etc., il existe certaines plages de températures qui peuvent être ajustées en fonction des souhaits des résidents.
Et pourtant, pour des locaux spécifiques d'un appartement et d'une maison, nous avons:
- 20 à 22 ° C - salle de séjour, y compris la chambre des enfants, tolérance ± 2 ° С -
- 19 à 21 ° C - cuisine, toilette, tolérance ± 2 ° С;
- 24 à 26 ° C - salle de bain, douche, piscine, tolérance ± 1 ° С;
- 16 à 18 ° C - couloirs, couloirs, escaliers, débarras, tolérance + 3 ° С
Il est important de noter qu'il existe plusieurs paramètres de base qui affectent la température dans la pièce et sur lesquels vous devez vous concentrer lors du calcul du système de chauffage: l'humidité (40-60%), la concentration d'oxygène et de dioxyde de carbone dans l'air. (250: 1), la vitesse de déplacement de la masse d'air (0,13-0,25 m / s), etc.
Calcul des appareils de chauffage
- Type de chauffage - radiateur sectionnel en fonte MS-140-AO;
Flux thermique nominal conditionnel d'un élément de l'appareil Qн.у. = 178 W;
Longueur d'un élément d'appareil l
= 96 mm.
St14


2) Débit d'eau massique:


où cf est la capacité calorifique spécifique de l'eau (= 4,19 kJ / kg ° C);
tg et to - températures de l'eau à l'entrée de la colonne montante et à sa sortie ;
β1 est le coefficient de prise en compte de l'augmentation du flux de chaleur des appareils de chauffage installés suite à l'arrondissement de la valeur calculée à la hausse;
β2 - coefficient de prise en compte des pertes de chaleur supplémentaires des appareils de chauffage au niveau des clôtures extérieures.
- Température moyenne de l'eau dans chaque dispositif d'élévation:
tav = 0,5 *


=0,5* (105 + 70) = 87,5


3) Différence entre la température moyenne de l'eau dans l'appareil et la température de l'air dans la pièce:
∆tav = tav - teinte
∆tav = 87,5 - 23 = 64,5 ° C
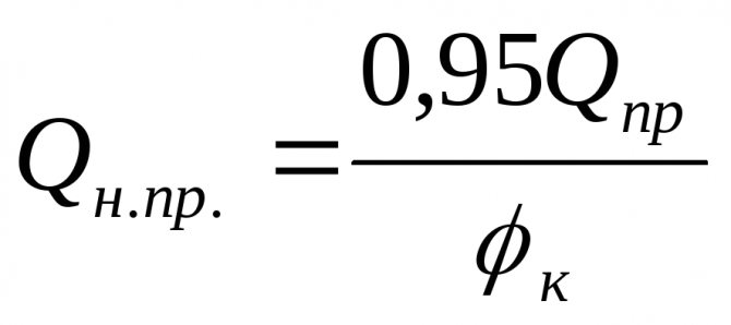
4) Flux thermique nominal requis


Où


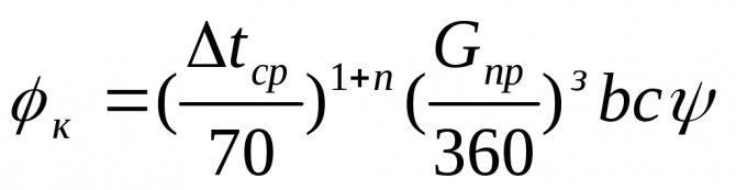
to - coefficient de réduction complexe Qn.pr. aux conditions de conception


où n, p et c sont des quantités correspondant à un certain type d'appareils de chauffage
b - coefficient de prise en compte de la pression atmosphérique dans une zone donnée
ψ - coefficient de prise en compte du sens de déplacement du liquide de refroidissement dans l'appareil
Pour un système de chauffage d'eau monotube, le débit massique d'eau passant par le dispositif calculé Gpr, kg / h
5) Nombre minimum requis de sections de chauffage:


où
4
- facteur de correction, en tenant compte de la méthode d'installation de l'appareil, avec une installation ouverte de l'appareil 4 = 1,0; 3 - facteur de correction, prenant en compte le nombre de sections dans l'appareil, pris à une valeur approximative


(pour nsec> 15).


,


;


,


;


,


.
Calcul de la perte de chaleur dans la maison
Selon la deuxième loi de la thermodynamique (physique scolaire), il n'y a pas de transfert spontané d'énergie de mini-ou macro-objets moins chauffés vers des mini-ou macro-objets plus chauffés. Un cas particulier de cette loi est «l'effort» pour créer un équilibre de température entre deux systèmes thermodynamiques.
Par exemple, le premier système est un environnement avec une température de -20°C, le deuxième système est un bâtiment avec une température interne de +20°C. Selon la loi ci-dessus, ces deux systèmes s'efforceront de s'équilibrer par l'échange d'énergie. Cela se produira à l'aide des pertes de chaleur du deuxième système et du refroidissement du premier.


On peut dire sans ambiguïté que la température ambiante dépend de la latitude à laquelle se trouve la maison privée. Et la différence de température affecte la quantité de fuites de chaleur du bâtiment (+)
La perte de chaleur signifie le dégagement involontaire de chaleur (énergie) d'un objet (maison, appartement). Pour un appartement ordinaire, ce processus n'est pas si "perceptible" par rapport à une maison privée, car l'appartement est situé à l'intérieur du bâtiment et est "adjacent" à d'autres appartements.
Dans une maison privée, la chaleur «s'échappe» plus ou moins à travers les murs extérieurs, le sol, le toit, les fenêtres et les portes.
Connaissant la quantité de chaleur perdue pour les conditions météorologiques les plus défavorables et les caractéristiques de ces conditions, il est possible de calculer avec une grande précision la puissance du système de chauffage.
Ainsi, le volume des fuites de chaleur du bâtiment est calculé à l'aide de la formule suivante:
Q = Qfloor + Qwall + Qwindow + Qroof + Qdoor +… + Qioù
Qi - le volume de perte de chaleur dû à l'aspect uniforme de l'enveloppe du bâtiment.
Chaque composant de la formule est calculé par la formule:
Q = S * ∆T / Roù
- Q - fuites thermiques, V;
- S - superficie d'un type de structure spécifique, m2. m;
- ∆T - différence de température entre l'air ambiant et l'air intérieur, ° C;
- R - résistance thermique d'un certain type de structure, m2 * ° C / W.
Il est recommandé de prendre la valeur même de la résistance thermique pour les matériaux réellement existants dans les tableaux auxiliaires.
De plus, la résistance thermique peut être obtenue en utilisant le rapport suivant:
R = d / koù
- R - résistance thermique, (m2 * K) / W;
- k - coefficient de conductivité thermique du matériau, W / (m2 * K);
- ré Est l'épaisseur de ce matériau, m.
Dans les maisons anciennes avec une structure de toit humide, les fuites de chaleur se produisent par le haut du bâtiment, à savoir par le toit et le grenier. La mise en œuvre de mesures de réchauffement du plafond ou d'isolation thermique du toit du grenier résout ce problème.


Si vous isolez le grenier et le toit, la perte totale de chaleur de la maison peut être considérablement réduite.
Il existe plusieurs autres types de perte de chaleur dans la maison par des fissures dans les structures, un système de ventilation, une hotte de cuisine, l'ouverture des fenêtres et des portes. Mais cela n'a aucun sens de prendre en compte leur volume, car ils ne représentent pas plus de 5% du nombre total de fuites de chaleur principales.
Formule de calcul
Normes de consommation d'énergie thermique
Les charges thermiques sont calculées en tenant compte de la puissance de l'unité de chauffage et des pertes de chaleur du bâtiment. Par conséquent, afin de déterminer la puissance de la chaudière conçue, il est nécessaire de multiplier la perte de chaleur du bâtiment par un facteur multiplicateur de 1,2. Il s'agit d'une sorte de réserve égale à 20%.
Pourquoi un tel coefficient est-il nécessaire? Avec son aide, vous pouvez:
- Prévoyez la baisse de pression du gaz dans le pipeline. Après tout, en hiver, il y a plus de consommateurs et tout le monde essaie de consommer plus de carburant que les autres.
- Variez le régime de température à l'intérieur de la maison.
Nous ajoutons que les pertes de chaleur ne peuvent pas être réparties uniformément dans toute la structure du bâtiment. La différence d'indicateurs peut être assez grande. Voici quelques exemples:
- Jusqu'à 40% de la chaleur sort du bâtiment par les murs extérieurs.
- À travers les étages - jusqu'à 10%.
- La même chose est vraie pour le toit.
- Grâce au système de ventilation - jusqu'à 20%.
- À travers les portes et les fenêtres - 10%.
Matériaux (modifier)
Ainsi, nous avons compris la structure du bâtiment et avons fait une conclusion très importante que les pertes de chaleur qui doivent être compensées dépendent de l'architecture de la maison elle-même et de son emplacement. Mais beaucoup est également déterminé par les matériaux des murs, du toit et du sol, ainsi que par la présence ou l'absence d'isolation thermique.
C'est un facteur important.
Par exemple, définissons les coefficients qui réduisent les pertes de chaleur, en fonction des structures des fenêtres:
- Fenêtres en bois ordinaires avec verre ordinaire. Pour calculer l'énergie thermique dans ce cas, un coefficient égal à 1,27 est utilisé. Soit, à travers ce type de vitrage, des fuites d'énergie thermique, égales à 27% du total.
- Si des fenêtres en plastique avec des fenêtres à double vitrage sont installées, un coefficient de 1,0 est utilisé.
- Si les fenêtres en plastique sont installées à partir d'un profilé à six chambres et avec un double vitrage à trois chambres, un coefficient de 0,85 est pris.
Nous allons plus loin, en nous occupant des fenêtres. Il existe un lien certain entre la zone de la pièce et la zone du vitrage de la fenêtre. Plus la deuxième position est grande, plus la perte de chaleur du bâtiment est élevée. Et ici, il y a un certain ratio:
- Si la surface des fenêtres par rapport à la surface du sol n'a qu'un indicateur de 10%, un coefficient de 0,8 est utilisé pour calculer la puissance calorifique du système de chauffage.
- Si le ratio est compris entre 10 et 19%, un facteur de 0,9 est appliqué.
- À 20% - 1,0.
- À 30% —2.
- À 40% - 1,4.
- À 50% - 1,5.
Et ce ne sont que les fenêtres. Et il y a aussi l'influence des matériaux utilisés dans la construction de la maison sur les charges thermiques. Nous les plaçons dans le tableau, où les matériaux du mur seront situés avec une diminution des pertes de chaleur, ce qui signifie que leur coefficient diminuera également:
| Type de matériau de construction | Coefficient |
| Blocs de béton ou panneaux muraux | 1,25 à 1,5 |
| Blockhaus en bois | 1,2 |
| Un mur de briques et demi | 1,5 |
| Deux briques et demie | 1,1 |
| Blocs de mousse de béton | 1,0 |
Comme vous pouvez le voir, la différence avec les matériaux utilisés est significative. Par conséquent, même au stade de la conception d'une maison, il est nécessaire de déterminer exactement de quel matériau elle sera construite. Bien sûr, de nombreux constructeurs construisent une maison en fonction du budget de construction. Mais avec de telles mises en page, cela vaut la peine de le réviser. Les experts assurent qu'il est préférable d'investir dans un premier temps afin de récolter par la suite les bénéfices des économies provenant de l'exploitation de la maison.De plus, le système de chauffage en hiver est l'un des principaux postes de dépenses.
Tailles des pièces et nombre d'étages du bâtiment
Schéma du système de chauffage
Ainsi, nous continuons à comprendre les coefficients qui affectent la formule de calcul de la chaleur. Comment la taille de la pièce affecte-t-elle la charge thermique?
- Si la hauteur des plafonds de votre maison ne dépasse pas 2,5 mètres, un facteur de 1,0 est pris en compte dans le calcul.
- À une hauteur de 3 m, 1,05 est déjà pris. Une légère différence, mais cela affecte considérablement les pertes de chaleur si la surface totale de la maison est suffisamment grande.
- À 3,5 m - 1,1.
- À 4,5 m –2.
Mais un indicateur tel que le nombre d'étages d'un bâtiment affecte la perte de chaleur d'une pièce de différentes manières. Ici, il est nécessaire de prendre en compte non seulement le nombre d'étages, mais également l'emplacement de la pièce, c'est-à-dire à quel étage elle se trouve. Par exemple, s'il s'agit d'une pièce au premier étage et que la maison elle-même a trois à quatre étages, un coefficient de 0,82 est utilisé pour le calcul.
Comme vous pouvez le voir, afin de calculer avec précision la perte de chaleur d'un bâtiment, vous devez décider de divers facteurs. Et tous doivent être pris en compte. Soit dit en passant, nous n'avons pas considéré tous les facteurs qui réduisent ou augmentent les pertes de chaleur. Mais la formule de calcul elle-même dépendra principalement de la surface de la maison chauffée et de l'indicateur, appelé valeur spécifique des pertes de chaleur. D'ailleurs, dans cette formule, il est standard et égal à 100 W / m². Tous les autres composants de la formule sont des coefficients.
Détermination de la puissance de la chaudière
Pour maintenir la différence de température entre l'environnement et la température à l'intérieur de la maison, un système de chauffage autonome est nécessaire qui maintient la température souhaitée dans chaque pièce d'une maison privée.
La base du système de chauffage est constituée de différents types de chaudières: à combustible liquide ou solide, électrique ou à gaz.
La chaudière est l'unité centrale du système de chauffage qui génère de la chaleur. La principale caractéristique de la chaudière est sa puissance, à savoir le taux de conversion de la quantité de chaleur par unité de temps.
Après avoir fait des calculs de la charge thermique pour le chauffage, nous obtiendrons la puissance nominale requise de la chaudière.
Pour un appartement multi-pièces ordinaire, la puissance de la chaudière est calculée à partir de la surface et de la puissance spécifique :
Rboiler = (Sroom * Rudelnaya) / 10où
- Chambres S- la superficie totale de la pièce chauffée;
- Rudellnaya- densité de puissance relative aux conditions climatiques.
Mais cette formule ne prend pas en compte les pertes de chaleur, qui sont suffisantes dans une maison privée.
Il existe une autre relation qui prend en compte ce paramètre:
Рboiler = (Qloss * S) / 100où
- Rkotla- puissance de la chaudière;
- Qloss- perte de chaleur;
- S - espace chauffé.
La puissance nominale de la chaudière doit être augmentée. Le stock est nécessaire si vous prévoyez d'utiliser la chaudière pour chauffer l'eau de la salle de bain et de la cuisine.


Dans la plupart des systèmes de chauffage des maisons privées, il est recommandé d'utiliser un vase d'expansion dans lequel une réserve de liquide de refroidissement sera stockée. Chaque maison privée a besoin d'eau chaude
Afin de prévoir la réserve de marche de la chaudière, le facteur de sécurité K doit être ajouté à la dernière formule:
Rboiler = (Qloss * S * K) / 100où
À - sera égal à 1,25, c'est-à-dire que la puissance estimée de la chaudière sera augmentée de 25%.
Ainsi, la puissance de la chaudière permet de maintenir la température standard de l'air dans les pièces du bâtiment, ainsi que d'avoir un volume initial et supplémentaire d'eau chaude dans la maison.
Méthode de calcul
Pour calculer l'énergie thermique pour le chauffage, il est nécessaire de prendre les indicateurs de demande de chaleur d'une pièce séparée. Dans ce cas, le transfert de chaleur du caloduc, qui se trouve dans cette pièce, doit être soustrait des données.
La surface de la surface qui dégage de la chaleur dépendra de plusieurs facteurs - tout d'abord, du type d'appareil utilisé, du principe de sa connexion à des tuyaux et de son emplacement dans la pièce. Il est à noter que tous ces paramètres affectent également la densité du flux thermique provenant du dispositif.
Calcul des éléments chauffants dans le système de chauffage - le transfert de chaleur de l'élément chauffant Q peut être déterminé à l'aide de la formule suivante :
Qpr = qpr * Ap.
Cependant, il ne peut être utilisé que si l'indicateur de la densité de surface du dispositif de chauffage qpr (W / m2) est connu.
De là, vous pouvez également calculer la surface calculée Ap. Il est important de comprendre que la superficie estimée de tout appareil de chauffage ne dépend pas du type de liquide de refroidissement.
Ap = Qnp / qnp,
dans laquelle Qnp est le niveau de transfert de chaleur de l'appareil requis pour une certaine pièce.
Le calcul thermique du chauffage tient compte du fait que la formule est utilisée pour déterminer le transfert de chaleur de l'appareil pour une pièce spécifique:
Qпр = Qп - µтр * Qпр
dans le même temps, l'indicateur Qp est la demande de chaleur de la pièce, Qtr est le transfert de chaleur total de tous les éléments du système de chauffage situés dans la pièce. Le calcul de la charge thermique sur le chauffage implique que cela inclut non seulement le radiateur, mais également les tuyaux qui y sont connectés et le caloduc de transit (le cas échéant). Dans cette formule, µtr est un facteur de correction qui fournit un transfert de chaleur partiel du système, calculé pour maintenir une température ambiante constante. Dans ce cas, la taille de la correction peut varier en fonction de la manière exacte dont les tuyaux du système de chauffage ont été posés dans la pièce. En particulier - avec la méthode ouverte - 0,9; dans le sillon du mur - 0,5; encastré dans un mur en béton - 1.8.
Le calcul de la puissance de chauffage requise, c'est-à-dire le transfert de chaleur total (Qtr - W) de tous les éléments du système de chauffage, est déterminé à l'aide de la formule suivante:
Qtr = µktr * µ * dn * l * (tg - tv)
Dans celui-ci, ktr est un indicateur du coefficient de transfert de chaleur d'une certaine section du pipeline située dans la pièce, d est le diamètre extérieur du tuyau, l est la longueur de la section. Les indicateurs tg et tv indiquent la température du liquide de refroidissement et de l'air dans la pièce.
La formule Qtr = qw * lw + qg * lg est utilisée pour déterminer le niveau de transfert de chaleur du conducteur de chaleur présent dans la pièce. Pour déterminer les indicateurs, vous devez vous référer à la littérature de référence spéciale. Vous y trouverez la définition de la puissance thermique du système de chauffage - la détermination du transfert de chaleur verticalement (qw) et horizontalement (qg) du caloduc posé dans la pièce. Les données trouvées montrent le transfert de chaleur de 1m du tuyau.
Avant de calculer le gcal pour le chauffage, pendant de nombreuses années, les calculs effectués selon la formule Ap = Qnp / qnp et les mesures des surfaces de transfert de chaleur du système de chauffage ont été effectués à l'aide d'une unité conventionnelle - mètres carrés équivalents. Dans ce cas, l'ecm était conditionnellement égale à la surface du dispositif de chauffage avec un transfert de chaleur de 435 kcal / h (506 W). Le calcul du gcal pour le chauffage suppose que la différence de température entre le liquide de refroidissement et l'air (tg - tw) dans la pièce était de 64,5 ° C et que la consommation relative d'eau dans le système était égale à Grel = l, 0.
Le calcul des charges thermiques pour le chauffage implique qu'en même temps les appareils de chauffage à tubes lisses et à panneaux, qui avaient un transfert de chaleur plus élevé que les radiateurs de référence de l'époque de l'URSS, avaient une zone ECM qui différait considérablement de l'indicateur de leur physique. surface. En conséquence, la surface de l'ECM des appareils de chauffage moins efficaces était significativement inférieure à leur surface physique.
Cependant, une telle double mesure de la surface des appareils de chauffage en 1984 a été simplifiée et l'ECM a été annulée. Ainsi, à partir de ce moment, la surface de l'appareil de chauffage n'a été mesurée qu'en m2.
Une fois la surface du radiateur requise pour la pièce calculée et la puissance thermique du système de chauffage calculée, vous pouvez procéder à la sélection du radiateur requis dans le catalogue des éléments chauffants.
Dans ce cas, il s'avère que le plus souvent, la surface de l'article acheté est légèrement plus grande que celle qui a été obtenue par des calculs. Ceci est assez facile à expliquer - après tout, une telle correction est prise en compte à l'avance en introduisant un coefficient multiplicateur µ1 dans les formules.
Les radiateurs sectionnels sont très courants aujourd'hui.Leur longueur dépend directement du nombre de sections utilisées. Afin de calculer la quantité de chaleur pour le chauffage - c'est-à-dire pour calculer le nombre optimal de sections pour une pièce particulière, la formule est utilisée:
N = (Ap / a1) (µ 4 / µ 3)
Ici a1 est la surface d'une section du radiateur sélectionnée pour une installation intérieure. Mesuré en m2. µ 4 est le facteur de correction introduit pour la méthode d'installation du radiateur de chauffage. µ 3 est un facteur de correction qui indique le nombre réel de sections dans le radiateur (µ3 - 1,0, à condition que Ap = 2,0 m2). Pour les radiateurs standards de type M-140, ce paramètre est déterminé par la formule:
μ 3 = 0,97 + 0,06 / Ap
Dans les tests thermiques, des radiateurs standard sont utilisés, constitués en moyenne de 7 à 8 sections. Autrement dit, le calcul de la consommation de chaleur pour le chauffage que nous déterminons - c'est-à-dire le coefficient de transfert de chaleur, n'est réel que pour les radiateurs exactement de cette taille.
Il est à noter que lors de l'utilisation de radiateurs avec moins de sections, une légère augmentation du niveau de transfert de chaleur est observée.
Cela est dû au fait que dans les sections extrêmes, le flux de chaleur est un peu plus actif. De plus, les extrémités ouvertes du radiateur contribuent à un meilleur transfert de chaleur vers l'air ambiant. Si le nombre de sections est supérieur, il y a un affaiblissement du courant dans les sections extérieures. En conséquence, afin d'atteindre le niveau de transfert de chaleur requis, le plus rationnel est une légère augmentation de la longueur du radiateur en ajoutant des sections, ce qui n'affectera pas la puissance du système de chauffage.
Pour ces radiateurs, dont la surface d'une section est de 0,25 m2, il existe une formule pour déterminer le coefficient µ3:
μ3 = 0,92 + 0,16 / Ap
Mais il faut garder à l'esprit qu'il est extrêmement rare, lors de l'utilisation de cette formule, d'obtenir un nombre entier de sections. Le plus souvent, la quantité requise s'avère être fractionnaire. Le calcul des appareils de chauffage du système de chauffage suppose qu'une légère diminution (pas plus de 5%) du coefficient Ap est autorisée pour obtenir un résultat plus précis. Cette action conduit à limiter le niveau de déviation de l'indicateur de température dans la pièce. Lorsque la chaleur pour chauffer la pièce a été calculée, après l'obtention du résultat, un radiateur est installé avec le nombre de sections aussi proche que possible de la valeur obtenue.
Le calcul de la puissance de chauffage par surface suppose que l'architecture de la maison impose certaines conditions à l'installation des radiateurs.
En particulier, s'il y a une niche externe sous la fenêtre, la longueur du radiateur doit être inférieure à la longueur de la niche - pas moins de 0,4 m. Cette condition n'est valable que pour la tuyauterie directe vers le radiateur. Si une conduite d'air avec un canard est utilisée, la différence de longueur de la niche et du radiateur doit être d'au moins 0,6 m. Dans ce cas, les sections supplémentaires doivent être distinguées comme un radiateur séparé.
Pour les modèles individuels de radiateurs, la formule de calcul de la chaleur pour le chauffage - c'est-à-dire la détermination de la longueur, ne s'applique pas, car ce paramètre est prédéterminé par le fabricant. Ceci s'applique pleinement aux radiateurs de type RSV ou RSG. Cependant, il existe souvent des cas où pour augmenter la surface d'un dispositif de chauffage de ce type, il suffit d'installer en parallèle deux panneaux côte à côte.
Si un radiateur à panneau est déterminé comme le seul autorisé pour une pièce donnée, alors pour déterminer le nombre de radiateurs requis, les éléments suivants sont utilisés:
N = Ap / a1.
Dans ce cas, la surface du radiateur est un paramètre connu. Dans le cas où deux blocs radiateurs parallèles sont installés, l'indice Ap est augmenté, ce qui détermine le coefficient de transfert de chaleur réduit.
Dans le cas de l'utilisation de convecteurs à double enveloppe, le calcul de la puissance de chauffage tient compte du fait que leur longueur est également déterminée exclusivement par la gamme de modèles existante. En particulier, le convecteur de sol "Rhythm" est présenté en deux modèles avec une longueur de boîtier de 1 m et 1,5 m. Les convecteurs muraux peuvent également différer légèrement les uns des autres.
Dans le cas de l'utilisation d'un convecteur sans boîtier, il existe une formule qui aide à déterminer le nombre d'éléments de l'appareil, après quoi il est possible de calculer la puissance du système de chauffage:
N = Ap / (n * a1)
Ici n est le nombre de rangées et de niveaux d'éléments qui composent la zone du convecteur. Dans ce cas, a1 est l'aire d'un tuyau ou d'un élément. Dans le même temps, lors de la détermination de la surface calculée du convecteur, il est nécessaire de prendre en compte non seulement le nombre de ses éléments, mais également la méthode de leur connexion.
Si un appareil à tuyau lisse est utilisé dans un système de chauffage, la durée de son tuyau de chauffage est calculée comme suit:
l = Ap * µ4 / (n * a1)
µ4 est un facteur de correction qui est introduit en présence d'un couvercle de tuyau décoratif; n est le nombre de rangées ou d'étages de tuyaux de chauffage; a1 est un paramètre caractérisant la surface d'un mètre d'une conduite horizontale à un diamètre prédéterminé.
Pour obtenir un nombre plus précis (et non fractionnaire), une légère diminution (pas plus de 0,1 m2 ou 5%) de l'indicateur A est autorisée.
Caractéristiques de la sélection de radiateurs
Les radiateurs, les panneaux, les systèmes de chauffage par le sol, les convecteurs, etc. sont des composants standard pour fournir de la chaleur dans une pièce Les éléments les plus courants d'un système de chauffage sont les radiateurs.
Le dissipateur thermique est une structure de type modulaire creuse spéciale en alliage à haute dissipation thermique. Il est fabriqué à partir d'acier, d'aluminium, de fonte, de céramique et d'autres alliages. Le principe de fonctionnement d'un radiateur de chauffage est réduit au rayonnement de l'énergie du liquide de refroidissement dans l'espace de la pièce à travers les «pétales».


Un radiateur de chauffage en aluminium et bimétallique a remplacé les radiateurs massifs en fonte. La facilité de production, la dissipation thermique élevée, la bonne construction et la bonne conception ont fait de ce produit un outil populaire et répandu pour rayonner la chaleur à l'intérieur.
Il existe plusieurs méthodes pour calculer les radiateurs de chauffage dans une pièce. La liste des méthodes ci-dessous est triée par ordre croissant de précision de calcul.
Options de calcul:
- Par zone... N = (S * 100) / C, où N est le nombre de sections, S est la surface de la pièce (m2), C est le transfert de chaleur d'une section du radiateur (W, tiré de ces passeports ou certificat de produit), 100 W est la quantité de flux de chaleur nécessaire pour chauffer 1 m2 (valeur empirique). La question se pose: comment prendre en compte la hauteur du plafond de la pièce?
- Par volume... N = (S * H * 41) / C, où N, S, C - de la même manière. H est la hauteur de la pièce, 41 W est la quantité de flux thermique nécessaire pour chauffer 1 m3 (valeur empirique).
- Par chance... N = (100 * S * k1 * k2 * k3 * k4 * k5 * k6 * k7) / C, où N, S, C et 100 sont similaires. k1 - en tenant compte du nombre de chambres dans l'unité vitrée de la fenêtre de la pièce, k2 - isolation thermique des murs, k3 - le rapport de la surface des fenêtres à la surface de la pièce, k4 - la température moyenne inférieure à zéro pendant la semaine la plus froide de l'hiver, k5 - le nombre de murs extérieurs de la pièce (qui «sortent» de la rue), k6 - le type de pièce en haut, k7 - la hauteur du plafond.
C'est la manière la plus précise de calculer le nombre de sections. Naturellement, les résultats des calculs fractionnaires sont toujours arrondis à l'entier suivant.
Calcul hydraulique de l'approvisionnement en eau
Bien entendu, le «tableau» du calcul de la chaleur pour le chauffage ne peut être complet sans calculer des caractéristiques telles que le volume et la vitesse du caloporteur. Dans la plupart des cas, le liquide de refroidissement est de l'eau ordinaire à l'état d'agrégation liquide ou gazeux.


Il est recommandé de calculer le volume réel du caloporteur en additionnant toutes les cavités du système de chauffage. Lorsque vous utilisez une chaudière à circuit unique, c'est la meilleure option. Lors de l'utilisation de chaudières à double circuit dans le système de chauffage, il est nécessaire de prendre en compte la consommation d'eau chaude à des fins hygiéniques et à d'autres fins domestiques.
Le calcul du volume d'eau chauffé par une chaudière double circuit pour fournir de l'eau chaude aux habitants et chauffer le liquide de refroidissement se fait en additionnant le volume interne du circuit de chauffage et les besoins réels des utilisateurs en eau chauffée.
Le volume d'eau chaude dans le système de chauffage est calculé à l'aide de la formule:
W = k * Poù
- W - le volume du caloporteur;
- P - puissance de la chaudière de chauffage;
- k - facteur de puissance (le nombre de litres par unité de puissance est de 13,5, plage - 10-15 litres).
En conséquence, la formule finale ressemble à ceci:
W = 13,5 * P
Le débit du fluide chauffant est l'évaluation dynamique finale du système de chauffage, qui caractérise la vitesse de circulation du liquide dans le système.
Cette valeur permet d'estimer le type et le diamètre du pipeline:
V = (0,86 * P * μ) / ∆Toù
- P - puissance de la chaudière;
- μ - efficacité de la chaudière;
- ∆T - la différence de température entre l'eau d'alimentation et l'eau de retour.
En utilisant les méthodes de calcul hydraulique ci-dessus, il sera possible d'obtenir des paramètres réels, qui sont le «fondement» du futur système de chauffage.
Exemple de conception thermique
À titre d'exemple de calcul de la chaleur, il y a une maison ordinaire de 1 étage avec quatre pièces à vivre, une cuisine, une salle de bain, un «jardin d'hiver» et des buanderies.


La fondation est constituée d'une dalle monolithique en béton armé (20 cm), les murs extérieurs sont en béton (25 cm) avec du plâtre, le toit est fait de poutres en bois, le toit est en métal et laine minérale (10 cm)
Désignons les paramètres initiaux de la maison, nécessaires aux calculs.
Dimensions du bâtiment:
- hauteur du sol - 3 m;
- petite fenêtre de l'avant et de l'arrière du bâtiment 1470 * 1420 mm;
- grande fenêtre de façade 2080 * 1420 mm;
- portes d'entrée 2000 * 900 mm;
- portes arrière (sortie sur la terrasse) 2000 * 1400 (700 + 700) mm.
La largeur totale du bâtiment est de 9,5 m2, la longueur est de 16 m2. Seuls les salons (4 pcs.), Une salle de bain et une cuisine seront chauffés.


Pour calculer avec précision la perte de chaleur sur les murs à partir de la surface des murs extérieurs, vous devez soustraire la surface de toutes les fenêtres et portes - il s'agit d'un type de matériau complètement différent avec sa propre résistance thermique
Nous commençons par calculer les surfaces de matériaux homogènes:
- surface au sol - 152 m2;
- surface du toit - 180 m2, compte tenu de la hauteur du grenier de 1,3 m et de la largeur de la course - 4 m;
- surface de fenêtre - 3 * 1,47 * 1,42 + 2,08 * 1,42 = 9,22 m2;
- surface de la porte - 2 * 0,9 + 2 * 2 * 1,4 = 7,4 m2.
La superficie des murs extérieurs sera de 51 * 3-9,22-7,4 = 136,38 m2.
Passons au calcul de la perte de chaleur pour chaque matériau:
- Qpol = S * ∆T * k / d = 152 * 20 * 0,2 / 1,7 = 357,65 W ;
- Qroof = 180 * 40 * 0,1 / 0,05 = 14400 W;
- Qwindow = 9,22 * 40 * 0,36 / 0,5 = 265,54 W;
- Qdoor = 7,4 * 40 * 0,15 / 0,75 = 59,2 W;
Et aussi Qwall équivaut à 136,38 * 40 * 0,25 / 0,3 = 4546. La somme de toutes les pertes de chaleur sera de 19628,4 W.
En conséquence, nous calculons la puissance de la chaudière: Рboiler = Qloss * Sheat_room * К / 100 = 19628,4 * (10,4 + 10,4 + 13,5 + 27,9 + 14,1 + 7,4) * 1,25 / 100 = 19628,4 * 83,7 * 1,25 / 100 = 20536,2 = 21 kW.
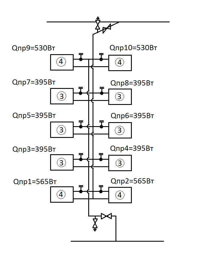
Nous calculerons le nombre de sections de radiateur pour l'une des pièces. Pour tout le monde, les calculs sont les mêmes. Par exemple, une pièce d'angle (à gauche, coin inférieur du diagramme) fait 10,4 m2.
Par conséquent, N = (100 * k1 * k2 * k3 * k4 * k5 * k6 * k7) / C = (100 * 10,4 * 1,0 * 1,0 * 0,9 * 1,3 * 1,2 * 1,0 * 1,05) /180=8,5176=9.
Cette pièce nécessite 9 sections d'un radiateur de chauffage avec une puissance calorifique de 180 W.
Nous procédons au calcul de la quantité de liquide de refroidissement dans le système - W = 13,5 * P = 13,5 * 21 = 283,5 litres. Cela signifie que la vitesse du liquide de refroidissement sera: V = (0,86 * P * μ) / ∆T = (0,86 * 21000 * 0,9) /20=812,7 litres.
En conséquence, un renouvellement complet de la totalité du volume de liquide de refroidissement dans le système équivaudra à 2,87 fois par heure.
Une sélection d'articles sur le calcul thermique aidera à déterminer les paramètres exacts des éléments du système de chauffage:
- Calcul du système de chauffage d'une maison privée: règles et exemples de calcul
- Calcul thermique d'un bâtiment: spécificités et formules pour effectuer des calculs + exemples pratiques
Calcul de la puissance calorifique
Nous considérerons plusieurs méthodes de calcul qui prennent en compte un nombre différent de variables.
Par zone
Le calcul par surface est basé sur des normes et des règles sanitaires, dans lesquelles les Russes disent en blanc: un kilowatt de puissance thermique doit tomber sur 10 m2 de la surface de la pièce (100 watts par m2).
Précision: le calcul utilise un coefficient qui dépend de la région du pays. Pour les régions du sud, il est de 0,7 - 0,9, pour l'Extrême-Orient - 1,6, pour la Yakoutie et la Tchoukotka - 2,0.
Plus la température extérieure est basse, plus la perte de chaleur est importante.
Il est clair que la méthode donne une erreur très significative:
- Un vitrage panoramique dans un fil donnera clairement une plus grande perte de chaleur par rapport à un mur plein.
- L'emplacement de l'appartement à l'intérieur de la maison n'est pas pris en compte, bien qu'il soit clair que s'il y a des murs chauds d'appartements voisins à proximité, avec le même nombre de radiateurs, il fera beaucoup plus chaud que dans une pièce d'angle qui a un mur commun avec la rue.
- Enfin, l'essentiel: le calcul est correct pour la hauteur de plafond standard dans une maison de construction soviétique, égale à 2,5 à 2,7 mètres. Cependant, même au début du 20e siècle, des maisons d'une hauteur de plafond de 4 à 4,5 mètres étaient en construction, et les stalinkas avec des plafonds de trois mètres nécessiteront également un calcul mis à jour.
Appliquons encore la méthode pour calculer le nombre de sections en fonte de radiateurs de chauffage dans une pièce de 3x4 mètres située dans le territoire de Krasnodar.
La superficie est de 3x4 = 12 m2.
La puissance thermique requise pour le chauffage est de 12m2 x100W x0,7 coefficient régional = 840 watts.
Avec une puissance d'une section de 180 watts, nous avons besoin de 840/180 = 4,66 sections. Bien sûr, nous arrondirons le nombre à cinq.
Conseil: dans les conditions du territoire de Krasnodar, un delta de température entre une pièce et une batterie de 70 ° C est irréaliste. Il est préférable d'installer des radiateurs avec une marge d'au moins 30%.
La réserve de puissance thermique ne fait jamais de mal. Si nécessaire, vous pouvez simplement fermer les vannes devant le radiateur.
Calcul simple par volume
Pas notre choix.
Le calcul du volume total d'air dans la pièce sera clairement plus précis, déjà car il prend en compte la variation des hauteurs de plafond. C'est aussi très simple: pour 1 m3 de volume, 40 watts de puissance du système de chauffage sont nécessaires.
Calculons la puissance requise pour notre salle près de Krasnodar avec une légère précision: elle est située dans une stalinka construite en 1960 avec une hauteur sous plafond de 3,1 mètres.
Le volume de la pièce est de 3x4x3,1 = 37,2 mètres cubes.
En conséquence, les radiateurs doivent avoir une capacité de 37,2x40 = 1488 watts. Prenons en compte le coefficient régional de 0,7: 1488x0,7 = 1041 watts, soit six sections d'horreur féroce en fonte sous la fenêtre. Pourquoi l'horreur? L'apparition et les fuites constantes entre les sections après plusieurs années de fonctionnement ne font pas de plaisir.
Si l'on se souvient que le prix d'une section en fonte est plus élevé que celui d'un radiateur de chauffage importé en aluminium ou bimétallique, l'idée d'acheter un tel appareil de chauffage commence vraiment à provoquer une légère panique.
Calcul de volume raffiné
Un calcul plus précis des systèmes de chauffage est effectué en tenant compte d'un plus grand nombre de variables:
- Le nombre de portes et de fenêtres. La perte de chaleur moyenne à travers une fenêtre de taille standard est de 100 watts, à travers une porte 200.
- L'emplacement de la pièce à l'extrémité ou au coin de la maison nous obligera à utiliser un coefficient de 1,1 à 1,3, en fonction du matériau et de l'épaisseur des murs du bâtiment.
- Pour les maisons privées, un coefficient de 1,5 est utilisé, car la perte de chaleur à travers le sol et le toit est beaucoup plus élevée. Au-dessus et en dessous, après tout, pas d'appartements chaleureux, mais la rue ...
La valeur de base est les mêmes 40 watts par mètre cube et les mêmes coefficients régionaux que lors du calcul de la superficie de la pièce.
Calculons la puissance thermique des radiateurs de chauffage pour une pièce de mêmes dimensions que dans l'exemple précédent, mais transférons-la mentalement dans le coin d'une maison privée à Oymyakon (la température moyenne de janvier est de -54 ° C, au moins pendant la période d'observation - 82). La situation est aggravée par la porte de la rue et la fenêtre d'où les joyeux éleveurs de rennes peuvent être vus.
Nous avons déjà atteint la puissance de base, en ne tenant compte que du volume de la pièce: 1488 watts.
La fenêtre et la porte ajoutent 300 watts. 1488 + 300 = 1788.
Une maison privée. Plancher froid et fuite de chaleur par le toit. 1788x1,5 = 2682.
L'angle de la maison nous obligera à appliquer un facteur de 1,3. 2682x1,3 = 3486,6 watts.
À propos, dans les pièces d'angle, les appareils de chauffage doivent être montés sur les deux murs extérieurs.
Enfin, le climat chaud et doux des Oymyakonsky ulus de Yakoutie nous conduit à l'idée que le résultat obtenu peut être multiplié par un coefficient régional de 2,0. Il faut 6973,2 watts pour chauffer une petite pièce!
Nous connaissons déjà le calcul du nombre de radiateurs de chauffage. Le nombre total de profilés en fonte ou en aluminium sera de 6973,2 / 180 = 39 profilés arrondis. Avec une longueur de section de 93 mm, l'accordéon sous la fenêtre aura une longueur de 3,6 mètres, c'est-à-dire qu'il s'adaptera à peine le long du plus long des murs ...
«>
«- Dix sections? Un bon début!" - avec une telle phrase, un habitant de Yakoutie commentera cette photo.