- le principal
- Construction et réparation
- Plomberie
>
>
⬎
Les tuyaux et raccords en polypropylène sont largement utilisés par les plombiers de différents niveaux et les bricoleurs. Cela n'est pas surprenant - aucun équipement coûteux n'est requis pour l'installation, tous les travaux sont relativement faciles à maîtriser. Actuellement, ces tuyaux sont utilisés pour l'approvisionnement en eau, à la fois froide et chaude, pour le chauffage. Les contremarches des immeubles d'habitation sont souvent en polypropylène.
Il y a pas mal d'opposants à cette technologie. Il y a des raisons à cela - diverses fuites dans les tuyaux de PPR sont loin d'être rares, les secouristes connaissent ce phénomène non par ouï-dire.
Pour être honnête, il convient de noter que les problèmes surviennent principalement en raison du non-respect de la technologie d'installation et du mauvais choix du type de tuyaux. Il convient également de noter des tuyaux et des composants de mauvaise qualité - en raison de la grande popularité du polypropylène, ils ont commencé à le produire dans presque tous les sous-sols.
Dans ce matériau, nous examinerons le choix correct des tuyaux en polypropylène pour une situation spécifique, la technologie de soudage et d'autres aspects importants.
Pourquoi vous devez choisir le bon diamètre de tuyaux de chauffage

Le système de chauffage individuel le plus simple à la maison comprend: une chaudière, des radiateurs de chauffage, un vase d'expansion et des canalisations reliant tous ces éléments. Et s'il existe des formules de calcul relativement simples pour la chaudière, le réservoir et les radiateurs, selon lesquelles la sélection des paramètres est effectuée, alors en ce qui concerne les tuyaux, il est nécessaire de commencer sérieusement à étudier l'ingénierie thermique.
Le fait est que le fonctionnement du chauffage dépend de la taille de tuyau correctement sélectionnée. Et en même temps, le bâtiment sera chauffé pendant la saison de chauffage. Si les calculs sont corrects, l'équipement fonctionnera de manière équilibrée. La température intérieure sera stable même les jours les plus froids et la consommation d'énergie sera faible. C'est une autre question si le diamètre des tuyaux est inférieur à celui nécessaire - le bâtiment ne se réchauffera pas bien. En conséquence, la chaudière de chauffage fonctionnera en mode critique pour atteindre la température normale.
Lorsque le diamètre des tuyaux principaux est plus grand que nécessaire, cela créera des problèmes de nature différente. Le volume accru des tuyaux est rempli d'un liquide de refroidissement dont le volume est supérieur à la conception. Et cela signifie que la perte de chaleur lors de son transport vers les batteries sera importante. Dans ce cas, la consommation de carburant augmentera considérablement. Par conséquent, cela ne signifie pas du tout une augmentation de la température dans la maison.
Bon choix
Après vous être familiarisé avec les caractéristiques techniques des tuyaux, sachez que la taille diamétrale affecte également la qualité du chauffage. Avant de choisir le diamètre des tuyaux pour le chauffage, sachez que ce paramètre affectera les indicateurs hydrodynamiques. Par conséquent, cette question doit être abordée avec sagesse.
Beaucoup de gens se posent la question suivante: comment choisir le meilleur diamètre et la meilleure taille pour une maison privée? La première chose à prendre en compte est la méthode d'alimentation en liquide de refroidissement. Avec un système autonome, il est nécessaire de prendre en compte le matériau à partir duquel les tuyaux sont fabriqués et le circuit de chauffage lui-même. Dans le cas où il y a une autoroute centralisée, les produits sont sélectionnés selon le même principe que dans les appartements. Il faut savoir que la présence ou l'absence d'une pompe dans le système affecte le calcul du diamètre des tuyaux de chauffage en polypropylène.
Il y a quelques points à surveiller:
- le diamètre intérieur est le principal indicateur par lequel la taille du tuyau est déterminée;
- la section externe est également subdivisée en plusieurs types: grande (plus de 4,6 cm), moyenne (10,2-40,6 cm) et petite (0,5-10,2 cm);
- section conditionnelle - certains fabricants arrondissent les paramètres et les convertissent en un système de mesure tel que les pouces.


Variétés de tuyaux de chauffage
Bien entendu, il est clair que les première et seconde caractéristiques ont une différence égale à l'épaisseur du matériau utilisé. Mais les experts soulignent qu'avec un système forcé, la meilleure option est la sélection de tuyaux de petit diamètre. Cela est dû à plusieurs raisons:
- Le temps de chauffage est économisé, ce qui permet déjà d'économiser de l'argent lors du paiement de l'électricité.
- Le petit diamètre des tuyaux empêche l'eau de circuler trop rapidement dans le système.
- Plus la section est petite, plus il est facile de faire l'installation vous-même.
- Du point de vue de l'économie, ces tuyaux coûteront moins cher.
Mais tout de suite, il vaut la peine de stipuler que vous ne pouvez pas acheter de petits tuyaux simplement parce que vous voulez économiser de l'argent. Il est nécessaire de se concentrer sur la conception du système, sinon les produits ne rempliront pas pleinement leur objectif - chauffer la maison. Il ne sera pas superflu de savoir à quel moment la vitesse optimale de circulation de l'eau dans les tuyaux est de 0,3 à 07 m / s.
Méthodes de calcul du diamètre du tuyau
Une grande quantité de données et des formules complexes ne sont pas toujours pratiques pour calculer le diamètre du tuyau et poser la ligne. Il existe d'autres méthodes pour déterminer quelles tailles de tuyaux peuvent être utilisées pour l'installation de chauffage. Aujourd'hui, les méthodes suivantes sont utilisées pour le calcul:
- La technique tabulaire vous permet de déterminer le diamètre à l'aide de tableaux prêts à l'emploi. Le calcul prend en compte la vitesse de déplacement du liquide de refroidissement, le volume des pertes de chaleur, la puissance d'un appareil de chauffage individuel ou de l'ensemble du système;
- Méthode de calcul basée sur le calcul de la puissance thermique du système;
- Prise en compte du coefficient de résistance hydraulique du circuit au mouvement du liquide de refroidissement.
Données tabulaires et de référence
Toutes ces techniques utilisent des données tabulaires et de référence normalisées. Ce qui permet de déterminer rapidement le diamètre de tuyau approprié.
L'utilisation de tableaux et d'ouvrages de référence peut être appelée l'un des 5 secrets des chauffagistes. C'est à partir d'eux qu'ils calculent avec précision la nomenclature des tuyaux pour le système.


Pour travailler avec le tableau de référence, vous devez d'abord calculer la puissance calorifique totale du bâtiment dans son ensemble et pour chaque pièce. Le deuxième secret est que dans le circuit de chauffage, le liquide de refroidissement a une certaine plage de vitesse. Le concept est compliqué, mais en pratique, cela ressemble à ceci: si l'eau se déplace trop lentement, la pièce ne se réchauffera tout simplement pas. Puisque des sas d'air se formeront constamment dans le système. Par conséquent, la vitesse de déplacement minimale autorisée du liquide de refroidissement, à laquelle tous les éléments fonctionneront de manière équilibrée, est de 0,3 mètre par seconde.
En revanche, si le liquide de refroidissement se déplace trop rapidement, par exemple sous la pression d'une pompe de circulation. Dans ce cas, les radiateurs et les tuyaux eux-mêmes émettront des sons très audibles, ce qui n'est pas non plus très bon. Par conséquent, la limite supérieure de la vitesse de déplacement est considérée comme étant de 0,7 mètre par seconde. Cet intervalle de vitesse d'écoulement de 0,3 à 0,7 m / s est considéré comme optimal pour le circuit de chauffage d'une maison privée.
Exemple de détermination du diamètre de tuyau requis
Par exemple, vous pouvez prendre une maison à deux étages d'une superficie totale de 75 mètres. La superficie du premier étage est de 50 mètres, le second occupe 25 mètres de surface chauffée.
Maintenant que vous connaissez toutes les données du tableau, vous pouvez déterminer les tailles de tuyaux requises.La superficie totale de la maison - 75 m2, est multipliée par 100 watts, le résultat est 7500 watts de puissance thermique totale, pour cet indicateur, la taille du tuyau doit être d'au moins 25 mm. Pour le circuit des premier et deuxième étages, son diamètre peut être plus petit, puisque pour un indicateur de 5000 et 2500 des tuyaux de 20 mm sont applicables.
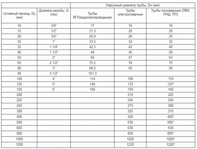
Caractéristiques du choix des tailles


Il existe différents diamètres de tuyaux en polypropylène de 10 à 1200 millimètres. Pour sélectionner l'option correcte, il est nécessaire d'effectuer des calculs hydrodynamiques, en tenant compte de l'objectif du futur système de chauffage. L'approche scientifique du calcul du diamètre et de la préparation du schéma de chauffage est utilisée par les professionnels.
Lors de l'installation seule, le diamètre est choisi selon les normes en fonction de l'échelle de la structure:
- dans les bâtiments industriels ou publics, des communications d'une section supérieure à 200 mm sont utilisées;
- pour une maison privée, un diamètre de 20 à 35 mm est suffisant;
- dans les sols chauds, des conducteurs de 16 mm peuvent être utilisés;
- dans les immeubles de grande hauteur avec chauffage central, la section minimale est de 25 mm.
Le diamètre est mesuré à l'intérieur des élévateurs. En utilisant des autoroutes trop larges ou, au contraire, étroites, vous créez une urgence, particulièrement dangereuse sont les chutes de pression dues aux communications mal sélectionnées dans un immeuble à appartements.
Quels tuyaux sont installés dans la maison


Que faut-il pour que le liquide de refroidissement circule à une vitesse optimale? Un peu, il suffit de prendre en compte les recommandations des chauffagistes lors du raccordement des radiateurs et de la tuyauterie.
Ainsi, étant donné que la plupart des systèmes sont montés à l'aide de tuyaux en polypropylène et que leur marquage indique le diamètre extérieur, il convient de considérer:
- Le raccordement d'un radiateur séparé ou au maximum de deux radiateurs séparés se fait avec un tuyau de 16 mm;
- Branches d'un puissant, jusqu'à 7 kW ou de plusieurs appareils de petite puissance de 1,2 à 2,0 kW chacun, mais pas plus de 5 pièces dans l'aile, vous pouvez utiliser un tuyau en plastique de 20 mm;
- Le tuyau de 25 mm est applicable à la fois pour la connexion de groupe de batteries et pour la pose d'une ligne. Il peut connecter un ou deux radiateurs puissants jusqu'à 15 kW ou jusqu'à 7 à 8 petits radiateurs d'une puissance totale de 11 à 12 kW. Il est utilisé pour les branches ou directions individuelles;
- Les tuyaux de 32 mm sont utilisés comme ligne principale pour un objet séparé - un bâtiment ou un sol. Jusqu'à 12 batteries d'une capacité de 19 à 20 kW y sont connectées.
- Jusqu'à 20 appareils de chauffage d'une puissance totale de 30 kW sont connectés à des tuyaux d'un diamètre de 40 mm.
Un autre indicateur dont vous devez vous souvenir dans les calculs est la résistance hydraulique. Pour une maison à un étage, il ne s'agira pas nécessairement de virages et de virages, même avec une pose de tuyau droit, la pression à l'intérieur peut varier dans différentes sections. De plus, des poches d'air peuvent se former dans les radiateurs. Parce qu'ils ne seront tout simplement pas poussés par la pression du liquide. Par conséquent, lors du choix du diamètre des canalisations, l'installation de pompes d'injection est également prise en compte. Ils maintiendront la vitesse de déplacement requise du liquide de refroidissement et compenseront la résistance hydraulique.
Donc, pour un immeuble d'une superficie chauffée de 150 à 180 m2. mètres pour surmonter la résistance hydraulique et maintenir une pression normale, une pompe d'une capacité de 25 à 40 W convient. Il fournira une pression allant jusqu'à 0,4 atmosphère. Pour une zone allant jusqu'à 300 mètres, une pompe d'une puissance de 45 à 60 W est installée, fournissant une pression allant jusqu'à 0,6 atmosphère.
Caractéristiques des matériaux des tuyaux


Tableau des diamètres des tuyaux en plastique pour le chauffage
Les fabricants produisent des pipelines à partir de plusieurs types de matériaux.
Polymère
Produits pour lesquels une matière plastique est utilisée - polyéthylène cousu ou ordinaire. Après les calculs, vous pouvez déterminer le diamètre des tuyaux de propylène nécessaire pour chauffer une maison privée, en fonction du type d'équipement:
- une ou deux piles - 16 mm;
- un radiateur ou un groupe de radiateurs d'une capacité de 1 à 2 kW (standard), jusqu'à 5 batteries d'une capacité allant jusqu'à 7 kW - 20 mm;
- épaulement de câblage sans issue (aile de la maison), radiateurs jusqu'à 8 pcs. avec une puissance totale allant jusqu'à 11 kW - pour le chauffage, il est préférable d'utiliser des tuyaux en propylène d'un diamètre de 25 mm;
- un étage (jusqu'à 12 radiateurs d'une puissance totale allant jusqu'à 19 kW) - 32 mm;
- ligne de 20 radiateurs jusqu'à 30 kW d'une capacité de 40 mm.
L'épaisseur de paroi des produits polymères est choisie en fonction des paramètres de pression dans le réseau et est de 1,8 à 3 mm.
Acier
Ils diffèrent par leur résistance et leur bonne dissipation thermique, mais sont difficiles en termes d'installation. La surface des raccords en acier inoxydable ne se corrode pas et se caractérise par sa douceur. Les raccords de chauffage en acier selon GOST 3262-75 sont classés en fonction du diamètre extérieur, dont dépend l'épaisseur de la paroi. Les données sont présentées dans le tableau.
| Diamètre extérieur | épaisseur du mur | ||
| Poumons | Standard | Renforcé | |
| 21,3 | 2,5 | 2,8 | 3,2 |
| 26,8 | 2,5 | 2,8 | 3,2 |
| 33,5 | 2,8 | 3,2 | 4 |
| 42,3 | 2,8 | 3,2 | 4 |
| 48 | 3 | 3,5 | 4 |
Des modifications standard et légères sont utilisées pour l'organisation du chauffage des appartements ou des maisons.
Cuivre
Le matériau a une bonne conductivité thermique, une bonne résistance à la corrosion et des propriétés de traction. Lorsque le liquide de refroidissement gèle, le système peut fonctionner tout en maintenant son étanchéité. Les caractéristiques des dimensions des raccords en cuivre sont indiquées dans le tableau.
| Diamètre, mm | Épaisseur de paroi, mm | Poids lm, gr |
| 15 | 1,5 | 391 |
| 18 | 2 | 480 |
| 22 | 2 | 590 |
| 28 | 2,5 | 1420 |
| 42 | 3 | 1700 |
Pour effectuer le chauffage, il convient d'utiliser des raccords en cuivre avec des parois de 1,5 à 2 mm.
S'il y a 5 à 8 radiateurs dans un appartement et 2 à 3 fourches dans une maison privée, vous pouvez calculer indépendamment le diamètre du tuyau pour la conduite de chauffage. À cette fin, il est permis de travailler avec des formules et des tableaux. L'organisation d'un système complexe à plusieurs niveaux implique l'utilisation de programmes en ligne spéciaux.
Matériaux et types de tuyaux pour le chauffage
Le choix correct des tuyaux affecte de nombreuses caractéristiques de performance du système. Bien sûr, à partir du transfert de chaleur et se terminant par le volume de ressources énergétiques consommées. Ici, vous devez vous souvenir d'un indicateur tel que la perte de chaleur du système. Comme cela dépend directement de la composition de ces tuyaux.
Aujourd'hui, le plus couramment utilisé:
- Tuyaux en différents types d'acier;
- Polypropylène;
- Cuivre.
Jusqu'à récemment, l'acier était le seul matériau de tuyau disponible. Aujourd'hui, les tubes en acier, bien que considérés comme les plus durables et les plus fiables, sont principalement utilisés dans les systèmes ouverts. Mais, malgré la large gamme de produits dans la construction de logements de faible hauteur, les tuyaux de petit et moyen diamètre sont principalement utilisés. Et les dimensions supérieures à 100 mm sont principalement utilisées pour la fabrication de registres, et non pour la pose d'autoroutes.
L'acier est utilisé en deux versions - la version habituelle du métal ferreux et sous forme d'acier inoxydable. Moins d'acier est utilisé aujourd'hui. Premièrement, de plus en plus de systèmes fermés ont commencé à être utilisés au lieu de systèmes ouverts. Et deuxièmement, l'installation nécessite un équipement spécial et un soudeur qualifié. Les tubes en acier sont principalement utilisés avec de petits diamètres. Mais cela soulève à son tour d'autres problèmes. Par exemple, un coefficient de résistance hydraulique élevé, car des affaissements et des rétrécissements se forment à l'intérieur pendant le soudage, qui ne peuvent pas être supprimés.
Tuyaux en polymère


Les tuyaux en polymère remplacent progressivement les tuyaux en acier en raison de la disponibilité et de la facilité d'utilisation croissantes. Pour ce matériau, de nombreux fabricants donnent une garantie de 15 ans pour l'intégrité des tuyaux et de près de 20 ans pour les joints. Le soudage ne nécessite pas de hautes qualifications, il suffit d'avoir un fer à souder spécial et de regarder 2-3 vidéos de formation. Mais ce matériau a aussi ses inconvénients. Le premier est une petite gamme de produits. Pour le chauffage par brasage dans une maison privée, un maximum de tuyaux d'un diamètre de 75 mm sont utilisés. Le deuxième inconvénient est la sélection correcte du matériau. Assez souvent, les tuyaux ont une petite paroi, son épaisseur n'est souvent que de 2, -2,3 mm, ce qui n'est clairement pas suffisant pour un circuit de chauffage de type fermé avec une pression de 1,2-1,4 bar. Le troisième point concerne les spécificités du matériau lui-même. Ce n'est pas aussi dur que le métal, donc ils essaient généralement de ne pas l'utiliser pour les maisons à deux étages.
Tuyaux de chauffage en cuivre


Les tuyaux de chauffage en cuivre n'étaient pas très populaires dans un passé récent, car il est très difficile de travailler avec ce matériau.Contrairement à l'acier et au polypropylène, le cuivre est soudé et tous les soudeurs ne sont pas en mesure de le faire correctement. Quoi qu'il en soit, le cuivre est l'un des meilleurs matériaux de chauffage. Il chauffe parfaitement l'air, il est en plastique et même lorsque l'eau gèle, le pipeline ne se brise pas immédiatement, le cuivre est une matière plastique et est capable de s'étirer sous la pression de l'eau. Mais d'un autre côté, le cuivre est un métal très agressif, lorsqu'il entre en contact avec l'aluminium, il commence à s'oxyder et entame le processus de corrosion. De plus, il est très coûteux par rapport à d'autres types de matériaux.
Quels tuyaux PPR conviennent au chauffage
Les tuyaux en polypropylène ont commencé à être utilisés pour les systèmes de chauffage relativement récemment. Auparavant, leur place était remplacée par des tuyaux en acier massif. Ces structures étaient reliées par soudage, étaient durables, mais difficiles à installer et coûteuses à fabriquer.
Les tuyaux en polypropylène ont subi un certain nombre de métamorphoses importantes au cours de leur courte histoire. En soi, le polypropylène n'a pas la résistance à la chaleur que les entreprises qui le développent étaient censées recevoir. C'est pourquoi les premiers systèmes de transfert de chaleur avec de tels tuyaux sont rapidement tombés en ruine et ils ont commencé à être sceptiques quant au matériau lui-même.
À l'heure actuelle, les tuyaux en polypropylène ont été considérablement améliorés. Il existe différents modèles qui sont utilisés pour l'approvisionnement en eau froide et chaude, le chauffage et le drainage. Lors des réparations, il est important de choisir des tuyaux conçus à des fins spécifiques, sinon la structure ne sera pas utilisable.


C'est important! À l'heure actuelle, de nombreuses entreprises produisent et vendent des tuyaux pour les systèmes de chauffage. Il est conseillé d'acheter des tuyaux avec tous les composants auprès de fournisseurs officiels dans les magasins spécialisés, car il existe de nombreux contrefaçons de mauvaise qualité.
Variétés de tuyaux PPR
Les tuyaux en polypropylène sont utilisés dans divers domaines, mais tous ne conviennent pas au chauffage. À la recherche de matériaux bon marché, vous ne pouvez pas acheter le type de tuyaux qui peuvent résister à l'eau chaude sous pression. Il est important de pouvoir distinguer un type de tuyau d'un autre.
La classification des tuyaux en polypropylène est la suivante:
- PP-H. Il s'agit de la première génération de tuyaux en polypropylène. Ce modèle possède toutes les propriétés du matériau de base. Les PP-N sont hermétiquement scellés et résistants à la haute pression, de plus, ils n'entrent pas dans des réactions chimiques. Cependant, la fusion d'un tel tuyau peut déjà commencer à une température de 50 ͒С. Ces tuyaux sont utilisés dans le système d'alimentation en eau froide, la ventilation et à des fins industrielles;
- PP-B. Dans la production de ce type, la formule du matériau a été légèrement modifiée. Les tuyaux se sont révélés plus solides et plus durables, mais les fluctuations de température ne pouvaient toujours pas résister. Ces tuyaux présentent les avantages de la génération précédente et, en outre, tolèrent mieux les températures chaudes. Cependant, ils ne conviennent pas à un système de chauffage et même à une alimentation en eau chaude. Ces tuyaux sont souvent utilisés dans la construction d'égouts;
- PP-R. Dans la production de ces tuyaux, l'éthylène est utilisé en plus du polypropylène. Cela leur permet de résister à des charges à haute température. De plus, ces tuyaux sont généralement renforcés, ce qui leur permet de résister à des températures supérieures à 100 ° C. Les tuyaux PP-R renforcés sont l'option la plus appropriée pour un système de chauffage.
Nous vous recommandons de vous familiariser avec: Types de revêtements décoratifs pour tuyaux de chauffage


Tuyaux renforcés
Le renforcement est le processus consistant à recouvrir un tuyau avec un matériau qui, en termes de résistance ou d'autres propriétés, surpasse le matériau principal de la structure. Dans le cas des tuyaux en polypropylène, le renforcement est entendu comme le revêtement du tuyau avec du métal, qui retient la chaleur et empêche le tuyau de se déformer sous l'influence de températures élevées. Les armatures peuvent être de deux types:
- Aluminium. Dans ce cas, la surface du tuyau est recouverte d'une feuille d'aluminium.Parfois, cette feuille est intégrée entre des couches de polypropylène. L'aluminium ne permet pas au PPR de se dilater et de changer de forme. Cependant, ces tuyaux présentent un inconvénient majeur: ils peuvent se délaminer. Le délaminage se produit lorsqu'un tuyau est fait de matériaux de mauvaise qualité ou n'est pas correctement raccordé à un autre tuyau;
- Fibre de verre. Un tel revêtement semble être tissé entre des couches de polypropylène. Cela rend le processus de délaminage impossible. Ces tuyaux sont intégrés et ne se détériorent pas s'ils sont mal installés ou utilisés. La durée de vie du PPR avec revêtement en fibre de verre est plus longue, cependant, ces tuyaux sont plus chers.


Caractéristiques techniques des tuyaux pour le chauffage
Les caractéristiques des tuyaux sont basées sur la résistance à divers facteurs qui agissent pendant le fonctionnement. Lors du choix des tuyaux pour un système de chauffage, vous devez faire attention aux paramètres suivants:
- Résistant à la haute pression. Les tuyaux en polypropylène renforcé sont capables de résister à une pression dans le système d'environ 6 atm. à une température de 70 ͒С. Plus la température est élevée, plus la résistance à la pression est faible. Dans le système de chauffage, l'eau chaude n'est pas fournie sous la pression maximale;
- Résistance aux influences de la température. Les tuyaux en polypropylène renforcé commencent à fondre à une température de 120 ° C. Dans le réseau de chauffage, la température dépasse rarement 70 à 75 ͒С, ce qui crée une réserve de capacité thermique dans le système. Les gelées PPR résistent pire que la chaleur;
- Résistant à la corrosion. Le principal inconvénient des tuyaux métalliques est leur capacité à réagir avec l'eau. Tôt ou tard, ces tuyaux rouillent et cessent d'être hermétiques. Le polypropylène ne se corrode pas lorsqu'il est exposé à l'eau. De plus, il ne réagit pas avec les sels et autres impuretés qui peuvent se trouver dans le système;
- Durabilité. Les fabricants promettent une durée de vie des tuyaux d'un demi-siècle, mais ne donnent aucune garantie. En fait, la durabilité de la structure dépend du type de renforcement, de la bonne installation, de la température à l'intérieur et à l'extérieur des tuyaux et de la pression à l'intérieur. Si vous suivez toutes les recommandations concernant la réparation, vous pouvez oublier pendant plusieurs décennies.
C'est important! Les tuyaux en polypropylène peuvent être installés à l'extérieur uniquement pour les résidents des régions du sud. À des températures extérieures au système inférieures à -15 ° C, le polypropylène devient cassant et les tuyaux peuvent se casser. Ces conceptions ne conviennent que pour la tuyauterie intérieure.
Sélection de tuyaux pour le chauffage
Pour un conducteur de chaleur, il vaut mieux privilégier le polypropylène avec renfort en fibre de verre. Cependant, les tuyaux en ce matériau sont également différents. Ils diffèrent par leur diamètre et leur capacité à résister à une certaine pression dans le système. Les catégories de tuyaux suivantes se distinguent par leur diamètre:
- Moins de 1,6 cm Ces tuyaux ne conviennent que pour les systèmes de chauffage par le sol. Ce diamètre doit être suffisant si les tuyaux sont installés correctement;
- 2,0 - 2,5 cm. Le diamètre le plus populaire lors de l'installation du chauffage dans une maison ou un appartement. Pour la colonne montante qui entre dans l'appartement, un diamètre de 25 mm est requis et des tuyaux de 20 mm sont placés dans les pièces;
- 2,5 - 3,2 cm Cette catégorie est utilisée dans les bâtiments à plusieurs étages avec chauffage centralisé;
- Plus de 20 cm Des tuyaux de ce diamètre sont nécessaires pour les grandes organisations. Par exemple, des hôpitaux avec de nombreux départements, services et bureaux.
Nous vous recommandons de vous familiariser avec: Comment éviter le colmatage des égouts pluviaux - nettoyage de routine et prévention
Il n'est pas difficile de déterminer la pression que les tuyaux peuvent supporter. Il suffit de regarder le marquage PN et le numéro qui le suit. Ainsi, PN 10 peut résister à une pression de 10 atmosphères à une température de 45 ͒С, PN 16-16 atm. à une température de 60 ͒С, PN 20 - une pression de 20 atm. à une température de 80 ͒С, PN 25-25 atm. à une température de 100 et plus ͒С. Pour le système de chauffage, il faut choisir au moins PN 16, de préférence PN 25.
Ainsi, la meilleure option pour les tuyaux de chauffage est les tuyaux en polypropylène revêtus de fibre de verre d'un diamètre de 2 à 2,5 cm et d'un marquage PN 25.
Pose et raccordement de tuyaux en polypropylène
Une caractéristique du calcul des paramètres des tuyaux en polypropylène est que les projets indiquent la taille extérieure du tuyau. Avant l'installation, tous les points de soudure sont calculés et, si possible, le nombre de courbures et de spires est réduit. S'il est impossible de réduire le nombre de coudes, par exemple, lors du contournement d'un tuyau vertical, un contournement est réalisé à partir d'un élément figuré spécial. Il est à noter que les systèmes en plastique polypropylène ont un grand nombre d'éléments simples supplémentaires qui peuvent satisfaire toutes les demandes et assurer l'accomplissement de toutes les tâches. Lors du soudage de transitions d'un diamètre de pipeline à un autre, ou lors de l'installation de branches dans des directions séparées, les kits disposent de systèmes de tés, d'adaptateurs et de couplages qui rendent ces transitions aussi simples que possible.
Technologiquement, le soudage commence par la pose et la fixation des tuyaux de la chaudière de chauffage. Ici, l'installation des raccords et des sections de connexion aux collecteurs et robinets d'arrêt est effectuée. Après cela, le câblage est terminé. Tout d'abord, les tuyaux de grand diamètre sont brasés, puis les plus petits. Pour le travail, il est recommandé d'utiliser tous les éléments d'un seul fabricant, dans ce cas, il est possible de minimiser les erreurs dues à des pièces de mauvaise qualité.
Installation et câblage du système - installation
Pour construire un circuit de chauffage dans une maison privée, vous devez prendre en compte certains détails. Il existe différents schémas de câblage du système. Il est important de choisir et de concevoir l'option la plus optimale. La circulation du porteur est naturelle et forcée. Dans certains cas, la première option est pratique, dans d'autres, la seconde.
La circulation naturelle se produit en raison des changements de densité du liquide. Les supports chauds ont une densité plus faible. L'eau de retour est plus dense. Ainsi, le liquide chauffé monte le long de la colonne montante et se déplace le long de lignes horizontales. Ils sont montés à un léger angle de pas plus de cinq degrés. La pente permet au porteur de se déplacer par gravité.


Le schéma de chauffage basé sur la circulation naturelle est considéré comme le plus simple. Vous n'avez pas besoin d'être hautement qualifié pour effectuer son installation. Mais il ne convient que pour les bâtiments de petite superficie. Dans ce cas, la longueur de la ligne ne doit pas dépasser trente mètres. Les inconvénients de ce schéma sont la basse pression à l'intérieur du système et la nécessité d'utiliser des canaux de section transversale significative.
La circulation forcée implique la présence d'une pompe de circulation spéciale. Sa fonction est d'assurer le mouvement du transporteur le long de l'autoroute. Lors de la mise en œuvre d'un schéma avec mouvement de fluide forcé, il n'est pas nécessaire de créer une pente du contour. L'un de ses inconvénients est la dépendance énergétique du système. En cas de panne de courant, le mouvement du média dans le système sera entravé. Par conséquent, il est souhaitable que la maison dispose de son propre générateur.
Le câblage se produit:
- Un tuyau.
- Deux tuyaux.
La première option est réalisée par un flux séquentiel du support à travers tous les radiateurs. Cette disposition est économique. Pour sa mise en œuvre, un nombre minimum de tuyaux et de raccords sera nécessaire.
La conception monotube présente plusieurs inconvénients. Vous ne pourrez pas régler l'alimentation du support pour chaque batterie. Plus loin de la chaudière, les radiateurs seront moins chauds. Vous pouvez surmonter ces défauts.
Pour ce faire, vous devez utiliser le schéma de câblage dit "Leningrad".


Il implique l'installation de tuyaux de dérivation et de vannes d'arrêt sur chaque radiateur. Ce principe permet une circulation ininterrompue du support lorsqu'une batterie est coupée.
L'installation d'un système de chauffage à deux tuyaux dans une maison privée consiste à connecter le courant inverse et direct à chaque radiateur. Cela augmente le débit des canaux d'environ deux fois. Mais la mise en œuvre de cette option vous permet de réguler le transfert de chaleur dans chaque batterie. Ainsi, il sera possible d'ajuster le régime de température dans chaque pièce séparée.
Le câblage à deux tuyaux est de plusieurs types:
- vertical inférieur;
- vertical supérieur;
- horizontal.
Le câblage vertical inférieur implique une boucle d'alimentation à l'étage de l'étage inférieur du bâtiment ou de son sous-sol. Ensuite, à partir de la ligne principale le long des colonnes montantes, le support monte et entre dans les radiateurs. De chaque appareil, il y a un «retour» qui fournit le liquide refroidi à la chaudière. Pour mettre en œuvre ce schéma, vous devez installer un vase d'expansion. Il est également nécessaire d'installer des robinets Mayevsky sur tous les appareils de chauffage situés aux étages supérieurs.


La disposition verticale supérieure est différente. De l'unité de chauffage, le liquide va au grenier. En outre, le support descend à travers plusieurs élévateurs. Il passe par tous les radiateurs et retourne à l'unité le long du circuit principal. Pour éliminer l'air de ce système, un vase d'expansion est nécessaire. Ce schéma est plus efficace que le précédent. Puisqu'il y a une lecture de pression plus élevée à l'intérieur du système.


Le type à double tuyau horizontal à circulation forcée est le plus populaire.
Il se décline en trois variétés:
- avec distribution de rayons (1);
- avec mouvement de fluide passant (2);
- impasse (3).
L'option de distribution radiale consiste à connecter chaque batterie à la chaudière. Ce principe de fonctionnement est le plus pratique. La chaleur est uniformément répartie dans toutes les pièces.
L'option avec mouvement fluide passant est assez pratique. Toutes les lignes vers les radiateurs sont de longueur égale. Le réglage d'un tel système est assez simple et pratique. Pour installer ce câblage, vous devez acheter un nombre important de canaux.
La dernière option est réalisée en utilisant un petit nombre de canaux. L'inconvénient est la longueur considérable du circuit de la batterie éloignée, ce qui complique l'ajustement du fonctionnement du système.


Caractéristiques
Lors du choix des meilleurs tuyaux en polypropylène pour le chauffage, vous devez faire attention à leurs caractéristiques techniques. Les principaux paramètres sont indiqués sur la surface des produits et sont inclus dans le marquage.


Les tuyaux PN20 et PN25 conviennent au chauffage. Ils sont conçus pour des températures allant jusqu'à 120 ° C. Cependant, tous les systèmes de chauffage ne chauffent pas l'eau au-dessus de 95 ° C. Si le liquide de refroidissement commence à bouillir, cela provoque une situation anormale. En cas d'accident, les tuyaux présentés ont une certaine marge de sécurité.
Le polypropylène de la catégorie PN20 résiste à une pression de fonctionnement du système de 20 atm. lors du chauffage du liquide de refroidissement à 20 ° C Si la température atteint 90 ° C, la résistance du matériau diminue. Dans de telles conditions, il est capable de résister à une pression allant jusqu'à 6,5 kgf / cm². Par conséquent, pour les objets d'une grande superficie, dans les régions du nord de notre pays, il est recommandé d'acheter des tuyaux de la catégorie PN25.
Caractéristiques du fonctionnement des tuyaux de chauffage en polypropylène
Afin de sélectionner correctement les parties fonctionnelles de l'équipement de chauffage, il est important non seulement de calculer toutes ses caractéristiques techniques, mais également de déterminer dans quelles régions l'utilisation de tel ou tel matériau comme base du système d'alimentation en chaleur sera le plus pertinent.
Dans les régions nordiques où les températures sont régulièrement basses, la préférence devrait être donnée aux pipelines en acier galvanisé ou en acier inoxydable, et il serait plus correct de s'abstenir d'exploiter des modèles en polymères métalliques.
Malgré la très grande popularité des structures polymères dans le nord, l'utilisation d'un tel matériau comme base pour la conception d'un système de chauffage peut entraîner certains problèmes.Comme mentionné ci-dessus, dans les régions froides, il existe un risque sérieux de surchauffe du liquide de refroidissement circulant dans le système, par conséquent l'utilisation de tels matériaux est définitivement associée à un certain risque pour la sécurité des résidents.


Dans les régions où le climat est tempéré et généralement chaud, le polypropylène sera une excellente solution pour l'installation d'un système de chauffage, et il n'y a pas de mesures restrictives ici.
Il est également à noter que dans les bâtiments de type privé équipés de chaudières de chauffage fonctionnant à l'électricité ou au gaz, vous pouvez régler vous-même la température du liquide de refroidissement. En conséquence, l'utilisation de polypropylène dans de tels systèmes ne causera aucun dommage et sera tout à fait acceptable.
N'oubliez pas la tendance de ce matériau à se dilater sous l'influence de la chaleur.
Compte tenu de cette propriété du polypropylène, il doit être utilisé dans le respect de certaines règles:
- Seuls les tuyaux traités avec un matériau renforcé, un coefficient de dilatation inférieur, comme la fibre de verre ou l'aluminium plus courant, doivent être utilisés comme base pour le circuit de chauffage. Dans le même temps, l'utilisation de tels tuyaux ne nécessitera pas de coûts financiers importants, ce qui n'est pas moins important. Néanmoins, lors de la réalisation de l'appareil du système de chauffage de vos propres mains, il sera préférable d'utiliser des tuyaux renforcés de fibre. Cela économisera une partie assez importante du budget, car pendant le processus d'installation, vous n'aurez pas besoin d'utiliser un outil de décapage spécial appelé rasoir. Cependant, si un tel équipement n'est pas utilisé pour l'installation de tuyaux renforcés avec une feuille à base d'aluminium, la connexion de leurs composants au moyen de raccords est catégoriquement indésirable. Il sera également utile de se rappeler que le produit, dont le renforcement est réalisé avec de la fibre de verre, n'est pas aussi fantaisiste en fonctionnement que d'autres échantillons. Ceci est dû, tout d'abord, au fait que leur structure n'implique pas l'utilisation de couches à base d'adhésif, qui en pratique est réalisée par simple fusion de fibre dans le tuyau. Cette mesure évite un éventuel délaminage de l'équipement.
- Lors de l'installation de tuyaux en polypropylène, il est très important que leurs parties droites ne reposent contre aucune surface (murs, plafonds, etc.). Cela signifie que lors de la pose du circuit de chauffage, il est important de laisser un espace aux extrémités des tuyaux, ce qui est nécessaire pour l'allongement, car le renfort, bien qu'il réduise les taux de dilatation du matériau, n'est pas un moyen à part entière de s'en débarrasser. Si le tuyau est trop long, il est préférable d'utiliser des éléments de compensation spéciaux en forme de U (en option - bobines de tuyau).











