La construction d'un bain public sur le site d'un chalet d'été ou d'une maison privée est un élément indispensable de l'aménagement. Indépendamment de la disponibilité des communications et des ressources du réseau - eau chaude, caloporteur pour chauffer une maison, etc. - un bain est considéré comme un bâtiment obligatoire, ce qui ne peut se passer. Les poêles à combustible solide (bois), courants pour les bains russes, sont utilisés depuis de nombreux siècles, mais malgré cela, les gens connaissent très peu le fonctionnement et les caractéristiques de conception des poêles. Ce n'est pas seulement irrationnel, mais également extrêmement dangereux, car un poêle mal conçu peut provoquer un empoisonnement, un incendie ou d'autres événements inacceptables. Considérez une cheminée de sauna, l'un des éléments les plus importants dans la conception d'un poêle.
- Le processus de collecte des cheminées à l'intérieur du bain
Qu'est-ce qu'une cheminée
Un poêle à bois traditionnel est une chambre de combustion en métal ou en briques, équipée d'un système d'évacuation des produits de combustion à l'extérieur. C'est un tuyau vertical à travers lequel la fumée et les gaz chauds provenant de la combustion du carburant montent. Ce tuyau vertical s'appelle une cheminée. L'élément est extrêmement important, seulement il vous permet d'assurer la sécurité des personnes dans une pièce avec un poêle à bois inondé. Le fait est que lors de la combustion, une grande quantité de monoxyde de carbone se forme - CO, qui est dangereux pour la santé humaine. La fumée et les autres produits de combustion ne sont pas moins dangereux, dont une grande partie se forme. Les cheminées de poêle sont le seul moyen d'éliminer toutes ces substances.... Parallèlement aux fonctions principales, ils constituent un élément de ventilation, vous permettent de ventiler le bain, d'en éliminer l'excès d'humidité.
De plus, la cheminée fournit la manière correcte de brûler le combustible, organise l'aspiration de l'air dans le four, ce qui active le processus de combustion. L'appareil fonctionne en mode passif, sans l'utilisation d'appareils supplémentaires. L'utilisation de moyens mécaniques pour augmenter la productivité est possible, mais dans la pratique, elle est rarement utilisée. Comprendre comment faire correctement une cheminée dans un bain permet d'éviter des conséquences indésirables et dangereuses pour les personnes ou les biens.

Extérieurement, la cheminée est un tuyau ordinaire, connecté à une extrémité au poêle, et l'autre est conduit et s'élève à une certaine hauteur. C'est la conception la plus simple, en pratique, il y en a beaucoup plus, des éléments et des détails supplémentaires sont utilisés:
- Vannes à guillotine (portes).
- Nœuds de passage à travers le toit.
- Nœuds de passage à travers le mur.
- Tabliers de protection.
- Têtes (capuchons de protection).
Tous les éléments servent à remplir leurs propres tâches, la direction principale est de protéger le bain et les bâtiments voisins du feu.
Conseils d'assemblage
Après la construction de la cheminée, ainsi qu'un certain temps d'utilisation, il est important de veiller au nettoyage régulier du système. La façon la plus éprouvée de nettoyer une cheminée consiste à utiliser des outils électriques. Pour cela, des fraises spéciales, des poids, dans certains cas un pied de biche et une masse conviennent.
Travailler comme ramoneur est un sale boulot, car tout est sorti du bain à l'avance, les surfaces sont recouvertes de journaux ou de film:
- Les peaux de pommes de terre ont des propriétés similaires. Mais pour préparer la quantité de matériel requise, vous devrez vous attaquer au nettoyage de plus d'un kilogramme de légumes.
- Les méthodes modernes de protection des tuyaux contre la suie à l'aide de produits chimiques sont devenues fréquentes. Les préparations modernes comprennent des composants spéciaux qui, lorsqu'ils sont brûlés, produisent de la suie derrière eux. Les composants peuvent agir comme un séparateur de suie, qui finira par tomber des parois du tuyau par lui-même.
On pense que le meilleur moment pour nettoyer la cheminée est après la pluie. Il est plus facile de maintenir le tuyau dans un environnement humide. Le nettoyage des tuyaux en temps opportun sera la clé d'une combustion de bois de chauffage de haute qualité. Cela gardera le sauna au chaud.
Pour savoir comment fabriquer la bonne cheminée pour un bain, voir la vidéo ci-dessous.
Tout d'abord, à propos des structures en briques, qui sont une continuation de la maçonnerie du four. Le nœud du passage, appelé la découpe, est réalisé en agrandissant la maçonnerie aux dimensions standard, comme illustré dans le schéma ci-dessus. Il s'avère qu'en traversant le sol, il est nécessaire de résister à l'épaisseur de paroi d'une brique et demie (380 mm) et au revêtement de toiture - 1 brique (250 mm).
Les tuyaux en acier pour la ventilation des gaz sont généralement assemblés à partir de sections insérées les unes dans les autres. De plus, il est nécessaire de monter la cheminée de manière à ce que le condensat à l'intérieur du conduit de gaz puisse s'écouler sans entrave. C'est-à-dire que la section supérieure est insérée dans la section inférieure, c'est ce qu'on appelle un ensemble «condensat». Comme pour les sandwichs modulaires, le tube intérieur de la section supérieure insérée doit entrer dans celui du bas, et le tube extérieur doit saisir le boîtier de la partie inférieure de l'extérieur. De cette façon, les précipitations sont éliminées, s'écoulant calmement vers le sol.
La cheminée extérieure verticale est fixée au mur avec des supports de manière à ce qu'il y ait au moins 1 luminaire pour chaque section. Si les sections sont longues, les supports sont placés à des intervalles de 2 M. Lorsque vous faites des virages, vous devez éviter d'installer les coudes à un angle de 90 °, essayez d'utiliser des coudes à 45 ou 30 °.
- Assurez-vous d'utiliser un conduit de plafond même si vous utilisez un sandwich. Remplissez-le d'argile expansée, de mousse de verre ou de laine minérale. Ne couvrez pas l'espace à proximité du tuyau avec de la terre, en particulier avec du sable. Le sable a tendance à être très chaud et à rester chaud pendant longtemps.
- La hauteur de cheminée la plus optimale est de 4,5 à 5 mètres. Essayez de vous en tenir à ces paramètres.
- Le bord supérieur du tuyau doit s'élever d'au moins 50 centimètres au-dessus de la crête. Mais, et si le toit est plat, alors ici, la hauteur devrait déjà être d'au moins un mètre. Avec une hauteur de cheminée élevée, des entretoises spéciales sont montées.
- Dans une pièce à deux, si le tuyau passe près d'un mur ou d'une cloison, un écran de protection doit être installé sur le mur. Il peut se présenter sous forme d'acier inoxydable ou de carton basalte.
- Lors de l'installation de la clé USB, il est recommandé d'utiliser un scellant thermique spécial et résistant aux intempéries. Il fait un excellent travail avec la tâche qui lui est confiée. D'ailleurs, lors de l'assemblage d'un sandwich cheminée, le même thermo-scellant est souvent utilisé, et parfois des pinces à sertir.
- Si un matériau de toiture inflammable est utilisé, un pare-étincelles est nécessaire. Vous pouvez le faire vous-même en utilisant un filtre à air KAMAZ usagé.
- Essayez d'éviter les joints de tuyaux sandwich dans le passage du plafond. À ce stade, le canal de fumée doit être solide.
Nous vous suggérons de vous familiariser avec: les portes en tilleul du hammam
C'est tout pour l'instant, je vais terminer.Si vous n'avez pas expliqué quelque chose clairement, posez des questions dans les commentaires. J'essaierai de répondre. Qui considère ces informations utiles et informatives, vous pouvez les partager via les boutons sociaux. réseaux. Je serais très reconnaissant. Et maintenant - au revoir, au revoir ... A bientôt dans le prochain article ...
Citation de Wisdom: Si vous voulez que le monde change, devenez ce changement.
Principe de fonctionnement
Considérez le dispositif de la cheminée dans le bain. La combustion du bois dans une chambre de combustion dégage une grande quantité d'énergie thermique et génère de nombreux types de déchets. Les gaz chauds, la fumée et les autres produits de combustion montent. Ce phénomène physique s'appelle les envies. Lorsque la fumée est éliminée dans la chambre de combustion, un vide se forme, ce qui provoque une fuite d'air par le bas, pour laquelle un trou spécial est fait lors de la fabrication du poêle - un ventilateur. Le principe de fonctionnement est simple, mais en pratique tout est beaucoup plus compliqué.


Toutes les cheminées ne sont pas capables de fournir un tirage de haute qualité. Divers facteurs affectent le fonctionnement du système d'élimination des produits de combustion:
- un vent fort à l'extérieur peut chasser la fumée;
- installation de cheminée trop basse;
- bois brut, incapable de donner la température de combustion souhaitée;
- une configuration complexe d'une cheminée pour un bain, qui a des virages serrés;
- le diamètre (ou les dimensions d'un tuyau rectangulaire) ne correspond pas aux paramètres du four, ne permet pas d'organiser le bon mode de désenfumage.
Vous pouvez penser qu'il est extrêmement difficile de faire une cheminée pour un bain de vos propres mains; vous ne pouvez pas vous passer de l'aide de spécialistes. Ceci est une opinion erronée, l'installation indépendante d'une cheminée pour un poêle de sauna est tout à fait possible. Il suffit d'une formation théorique.
Caractéristiques de la cheminée pour un bain
Au départ, les bains russes étaient chauffés «en noir». Les cheminées de bain étaient tout simplement absentes. Le poêle était chargé de bois, après un certain temps, ils ont complètement brûlé. De la fumée et d'autres produits de combustion étaient en partie évacués à l'extérieur par les portes et en partie déposés sur les murs. L'ensemble des bains a été fumé de l'intérieur et recouvert d'une couche de suie, d'où le nom - en noir. Si le bois de chauffage dans la chambre de combustion ne brûlait pas complètement, les charbons ardents continuaient à émettre du monoxyde de carbone, ce qui créait un danger d'empoisonnement avec diverses conséquences, pouvant aller jusqu'à la mort. Il est à noter que même aujourd'hui, il y a des amateurs de ce type de bains, qui les considèrent comme les plus corrects et les plus utiles.
Les conceptions modernes de poêles ont un système d'évacuation des fumées qui vous permet de rester à l'intérieur pendant l'allumage du poêle et d'assurer une finition de haute qualité des locaux dans la salle de bain. Les cheminées de sauna fonctionnent en conjonction avec des poêles de plus petits volumes, de sorte qu'elles ont une taille et une longueur relativement petites du canal de fumée. Ils se réchauffent plus rapidement, ce qui évite la formation d'une grande quantité de condensation. Dans le même temps, la faible hauteur du tuyau crée une menace d'inversion de poussée, lorsque les flux de vent turbulents créent une pression élevée, expulsant la fumée dans la pièce. Afin d'éviter le danger que des produits de combustion pénètrent dans la pièce, vous devez savoir comment faire correctement une cheminée dans la baignoire, comment les poêles et les conduits d'évacuation des fumées sont connectés.
Ceci est également important à savoir: nous apportons la cheminée sur le toit correctement
Type de cheminée externe: avantages
Si votre hammam ne se trouve pas dans le Grand Nord, la possibilité d'aménager un bain avec une cheminée externe présente des avantages incontestables par rapport à un canal d'évacuation des fumées interne volumineux, coûteux et complexe.
Le type de cheminée externe est ainsi appelé du fait que la cheminée sort de la pièce. La sortie s'effectue à partir du four horizontalement à travers le mur. La partie verticale est située à l'extérieur.


Avantages du type de cheminée externe :
- Sécurité incendie élevée.La petite longueur de la cheminée dans la pièce, un trou technologique dans le mur pour la sortie réduit parfois le risque d'incendie, en comparaison avec le dispositif d'une cheminée interne.
- Facilité d'installation. Tous les composants sont assemblés par étapes, vendus prêts à l'emploi. Le dispositif du tuyau extérieur de vos propres mains ne nécessite pas de compétences particulières dans la manipulation du métal, ne nécessite pas d'outils spéciaux.
- Petite taille. La partie principale du tuyau longeant la rue, la salle reste entièrement à la disposition du baigneur.
- Sélection facile du diamètre et de la longueur de tuyau requis. Les tubes finis sont conçus pour être utilisés avec des fours spécifiques. Un conseiller en équipement de chauffage vous aidera à choisir le diamètre de cheminée optimal pour votre poêle.
- La simplicité de l'appareil réside dans la chaleur et l'étanchéité du trou mural. Vous pouvez acheter un kit prêt à l'emploi pour organiser un trou technologique conformément à toutes les règles et exigences de sécurité. Le kit comprend une section de tuyau horizontale, deux raccords (externe, interne), un ensemble avec isolation thermique du type requis dans la quantité requise. Le coût d'un simple adaptateur de petit diamètre commence à partir de 1000 roubles. Le prix d'un ensemble d'entreprise en acier inoxydable atteint 3500 roubles.
Nous vous recommandons de vous familiariser avec: Comment peindre correctement les batteries chauffantes de vos propres mains - créer un revêtement uniforme et durable


Les kits de cheminée prêts à l'emploi sont vendus à la fois complètement et dans des segments séparés. Il est pratique d'utiliser des tuyaux sandwich prêts à l'emploi (avec isolation thermique).
Noter! Si vous assemblez la cheminée vous-même, lors du choix de l'isolation thermique, étudiez attentivement les paramètres d'hygroscopicité et de résistance aux températures élevées.
Il est recommandé d'acheter de la laine minérale avec une caractéristique d'au moins 800 degrés. La laine minérale avec une résistance à la chaleur de 200 à 300 degrés dans un environnement humide se détériore rapidement, perdant ses propriétés isolantes.
Types et options de conception
Le dispositif de cheminée dans la baignoire a différentes options de conception. Tout d'abord, ils doivent être divisés en fonction du type de connexion au four:
- Cheminées indigènes. Ils représentent un tuyau installé séparément du four lui-même et relié à celui-ci par un canal spécial. Ils sont capables d'évacuer simultanément les produits de combustion de plusieurs fours, mais cela nécessite une dimension appropriée de la section interne du canal.
- Structures montées. Installé directement sur le four. Pour la cheminée au bain, l'option est considérée comme la plus pratique et la plus efficace, vous permettant d'obtenir le mode optimal pour éliminer la fumée et les gaz de combustion.


Le deuxième signe par lequel les canaux de fumée peuvent être divisés sont:
- Cheminées extérieures. Ils sont situés à l'extérieur du bâtiment, mènent à travers le mur et sont fixés sur le mur d'extrémité (généralement).
- Les conduits internes sont installés directement au-dessus de la sortie de la fournaise et traversent le toit du bâtiment.


Pour le bain, on utilise principalement des cheminées internes, elles ont une configuration plus appropriée et sont plus efficaces en fonctionnement. Les options extérieures sont utilisées dans les grands bâtiments de plusieurs étages et produisent souvent de la fumée à partir de plusieurs poêles. L'avantage des structures externes est la possibilité de drainer le condensat dans des poches spécialement équipées, ce qui réduit le taux d'encrassement de la surface intérieure du tuyau avec de la suie.
Les cheminées pour un bain diffèrent également par leur matériau:
- métal;
- brique (pierre);
- béton, béton cellulaire, blocs de céramique.
Examinons-les plus en détail.
Cheminées métalliques


Cheminée métallique fiable et pratique pour un bain
L'utilisation de tuyaux en acier pour la cheminée dans le bain simplifie quelque peu le processus de fabrication, mais nécessite une compréhension des caractéristiques de son fonctionnement. Le métal se réchauffe ou se refroidit rapidement, ce qui contribue à la formation de condensation.En descendant le tuyau vertical, l'humidité pénètre dans la chambre de combustion, où elle bout, libérant des gaz corrosifs provenant de la distillation du goudron et d'autres substances dissoutes dans celle-ci. Afin d'exclure ou de réduire l'ampleur de ce phénomène, il est courant d'équiper les cheminées pour un bain avec des tuyaux doubles ou sandwich qui ont une couche intérieure d'isolation thermique et ne chauffent pas de l'extérieur. Ces tuyaux sont moins dangereux en termes d'incendie, ils restent chauffés à l'intérieur pendant une longue période, ce qui réduit la possibilité de formation de condensation. La cheminée sandwich se distingue par sa durabilité, son entretien sans prétention, mais les exigences de base sont les mêmes que pour tout autre type.
Cheminées en brique


Il n'y a pas si longtemps, exclusivement des cheminées en brique étaient utilisées dans la construction du bain.
Les briques réfractaires pour cheminées sont utilisées depuis des temps immémoriaux. Il ne chauffe pas tellement, ne se corrode pas. Les tuyaux en brique sont utilisés en conjonction avec des fours en brique et ont récemment été fabriqués moins souvent en raison de la complexité de leur fabrication. Un tuyau de cette conception a une configuration assez complexe, car il est nécessaire d'assurer la rétention de la chaleur dans le four. De plus, ils ont généralement une section transversale rectangulaire, ce qui réduit les propriétés aérodynamiques du milieu enlevé. Un autre inconvénient est le poids important et, par conséquent, la fragilité du tuyau en brique. Le bain est une structure relativement basse, et la longueur de la cheminée (recommandée) est de 5 m. Une cheminée en brique haute subit des charges thermiques et mécaniques (vent) importantes, ce qui met rapidement la structure hors service.
Céramique et autres types
Actuellement, des blocs spécialisés sont produits pour l'assemblage de cheminées. Ils sont destinés à être utilisés dans de grands systèmes de désenfumage; ils ne conviennent pas pour une installation dans de petites pièces en raison de leur taille et de leur poids élevé. Le fait est qu'un tuyau excessivement massif enlèvera une grande quantité de chaleur aux gaz d'échappement. Pour assurer un tirage de haute qualité à la sortie de la cheminée, la température doit être d'au moins 120 °, donc l'utilisation de tels matériaux avec de petits poêles est irrationnelle. Les tuyaux en céramique minces combinent les qualités positives des cheminées en brique et en métal, mais leur coût est élevé. De plus, il n'est pas toujours possible de leur trouver des éléments supplémentaires.


Important! Il n'est pas recommandé de faire des cheminées de sauna avec des tuyaux en amiante-ciment, car elles sont hygroscopiques et se détériorent rapidement, dans certaines circonstances, elles peuvent exploser. L'utilisation de blocs de béton ou de céramique nécessite une base solide et tous les fours ne sont pas capables de supporter un poids important.
Calcul des dimensions
Les dimensions optimales de la cheminée, calculées en tenant compte du volume d'oxygène nécessaire pour soutenir la combustion du bois de chauffage, sont présentées dans le tableau:
| Paramètre | Valeur |
| La température des produits de combustion à la sortie du tuyau | + 1200C |
| Vitesse maximale de déplacement des substances gazeuses | À partir de 2 m / s |
| Hauteur de la cheminée | 5 m |
| Poids du combustible brûlé avec un remplissage du four | 10 kg / heure |
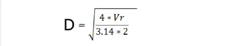
Le diamètre de la cheminée est déterminé par la formule:


Il ne devrait y avoir aucune erreur dans la détermination du diamètre
Vr est le volume d'air.
La hauteur de la cheminée est déterminée en fonction de la géométrie de la section et à l'aide d'un graphique spécial.
La hauteur dépend de la surface de la cheminée
La hauteur de la cheminée peut être déterminée en divisant la surface de la chambre de combustion (F) par la surface de la cheminée (f) et en déterminant leur rapport en pourcentage. Par exemple, si le rapport entre la section de cheminée et la section de four est de 10%, la hauteur minimale du tuyau rond sera de 7 mètres. Pour une cheminée carrée, cette valeur doit être différente - 8 mètres.
L'épaisseur est un indicateur tout aussi important. Sa valeur standard est d'au moins 1 mm. C'est l'option la plus populaire, c'est-à-dire une cheminée en métal.
Exigences de construction
Les cheminées pour poêles de sauna respectent toutes les exigences qui existent pour tout type de conduit d'évacuation des fumées:
- La section transversale du canal doit garantir une évacuation complète des fumées.
- La hauteur de la partie extérieure de la cheminée ouvrant sur le toit doit être d'au moins 50 cm au-dessus du toit.
- Si la sortie de cheminée vers le toit en pente est à une distance de 1,5 m ou moins de la crête, sa hauteur doit dépasser le niveau de la crête de 50 cm.
- À une distance de 1,5 à 3 m de la crête, la hauteur de la cheminée ne doit pas être inférieure au niveau de la crête.
- Si la distance à la crête est supérieure à 3 m, la hauteur de la cheminée peut être 10% inférieure au niveau de la crête.
- Si la baignoire est attachée à un bâtiment plus élevé, la hauteur de la cheminée doit dépasser son point le plus élevé.
- L'épaisseur des cheminées métalliques doit dépasser 0,5 mm, à condition qu'elles soient en acier spécial résistant à la corrosion et à la chaleur.
- Dans les pièces avec des fours en fonctionnement, un échange d'air normal doit être assuré. Il est interdit d'utiliser les systèmes d'évacuation séparément des systèmes d'alimentation en air, afin de ne pas réduire le tirage dans le four.
- Pour créer un tirage normal, la longueur de la cheminée doit être d'au moins 5 m.
- La longueur totale des parties horizontales et inclinées ne doit pas dépasser 1 m.
Ceci est également important à savoir: Comment assembler correctement une cheminée pour votre maison
Les exigences relatives à la hauteur du canal de fumée sont déterminées par la physique du mouvement des courants de vent. La turbulence près de la surface renvoie souvent les gaz de combustion dans la cheminée. La même raison nous oblige à placer le point supérieur au-dessus du niveau du faîte du toit - les tourbillons provenant de l'intersection des flux dirigés transversalement affectent la fumée sortante, créant une poussée inverse.
Comment installer une cheminée pour un bain
L'installation d'une cheminée dans un bain est directement liée à la conception du poêle, au matériau, aux dimensions et à d'autres paramètres. Pour une personne non préparée qui souhaite créer une cheminée dans un bain de ses propres mains, un guide étape par étape est nécessaire. Dans le même temps, il est impossible de décrire la procédure générale pour les actions, car il peut y avoir beaucoup d'options de conception et de matériaux utilisés ou leurs combinaisons. Considérez comment installer une cheminée dans une baignoire de vos propres mains de taille moyenne, le type le plus courant.
Le plus souvent, des fours métalliques sont utilisés, pour lesquels un tuyau sandwich à deux couches est la meilleure option. La couche extérieure maintient une température relativement basse, ce qui élimine le risque d'inflammation du plafond au point de passage à travers le plafond. Les cheminées métalliques monocouches sont dangereuses en raison du chauffage, elles sont souvent recouvertes de briques, augmentant ainsi la charge sur le four ou les structures de support. De plus, un ensemble de passage dédié doit être utilisé pour éviter la surchauffe et réduire le risque de fuites. En fait, l'installation de l'unité de passage est la plus grande complexité de toute la procédure; monter la cheminée pour le bain de vos propres mains signifie que vous positionnez et fixez correctement l'unité de passage.


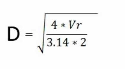
Avant de commencer les travaux, vous devez tracer un schéma de l'emplacement de tous les éléments structurels, calculer leur longueur et leur diamètre. Pour le calcul, la formule est utilisée:


Où D est le diamètre du tuyau (interne),
Vr est le volume d'air.
La valeur résultante deviendra la valeur principale à partir de laquelle vous devrez vous appuyer dans la sélection de tous les autres éléments. Lors du choix d'un tuyau sandwich, vous devez immédiatement sélectionner un nœud pour y passer le plafond et la toiture.
Le processus de collecte des cheminées à l'intérieur du bain
Instructions d'installation étape par étape pour les cheminées verticales (internes):
- Marquages au plafond.
- Installation de l'ensemble de passage.
- Aménagement et installation du passage de toiture.
- Installation et raccordement de la cheminée.


Toutes les opérations sont effectuées dans l'ordre spécifié, une attention particulière doit être accordée à l'étanchéité du passage du toit, car c'est la frontière entre l'atmosphère intérieure et extérieure. L'installation est effectuée en stricte conformité avec le manuel de l'unité de passage, aucun changement de technologie n'est autorisé.
Installation de cheminées sur un mur extérieur
Les cheminées extérieures sont plus faciles à installer. Nous examinerons le processus d'installation plus en détail à l'aide de l'exemple d'assemblage et d'installation d'un sandwich de cheminée Vulcan:
- Un trou est pratiqué dans la paroi opposée à la sortie du four.


- Le nœud de passage à travers le mur est installé.


- Une section horizontale de la cheminée Vulcan est montée à travers l'unité de passage, reliée à la sortie du four.


- À l'extérieur, un genou y est monté et une section verticale de la cheminée est installée.


- Le tuyau est fixé au mur à l'aide de supports spéciaux. Ne le fixez pas fermement au mur.


Les joints des segments de tuyau sont scellés avec un scellant résistant à la chaleur. L'installation se fait de bas en haut, dans le sens du mouvement des fumées et des fumées. La taille de chevauchement optimale est un quart du diamètre (interne). La partie supérieure (sortie) est protégée par un parapluie (tête). L'opérabilité du sandwich de cheminée assemblé doit être vérifiée, tout défaut détecté doit être éliminé immédiatement. La condition principale pour l'exécution correcte des travaux est l'exactitude du respect des instructions de l'utilisateur pour tous les composants utilisés et la précision. Cela garantira l'obtention du résultat le plus réussi.
Installation d'une cheminée pour un four en métal et brique
La pose doit commencer par le haut du poêle. Un tube d'emballage est pré-installé sur le four. La pose de briques est effectuée comme lors de la construction de murs, mais il existe un certain nombre de nuances:
- Pour que le poêle donne régulièrement de la chaleur et que la fumée traverse les canaux, vous devez surveiller attentivement le niveau de la structure. Vous devez utiliser un appareil de mesure après chaque rangée disposée.
- Lors de la construction d'une cheminée en briques, cependant, comme un poêle, il est nécessaire d'utiliser non pas une solution standard, qui comprend du ciment et du sable, mais d'ajouter de l'argile au mélange. Les proportions de la solution sont les suivantes: 2: 5: 1.
- L'épaisseur de la couche de mortier doit varier de 5 à 10 mm. Un indicateur égal à un centimètre est critique. Si vous le dépassez, la maçonnerie s'effondrera assez rapidement;
- Les joints entre les briques doivent être soigneusement scellés. Si cette procédure est négligée, des étincelles peuvent pénétrer dans la pièce.
- L'installation doit être effectuée exclusivement à partir de briques entières. L'utilisation de quarts et de moitiés peut conduire à la nécessité d'augmenter la consommation de la solution, ce qui est inacceptable.
De ce qui précède, il convient de tirer la conclusion suivante: une cheminée en brique présente de nombreux avantages incontestables, mais son installation est compliquée par de nombreux facteurs. Par conséquent, il est peu probable qu'il fonctionnera pour l'installer de vos propres mains, sans avoir l'expérience appropriée.
















