
Bonjour chers lecteurs! Comment allez-vous? Êtes-vous prêt pour le froid? Vous êtes-vous isolé?
Aujourd'hui, je suis tombé sur un article qui m'a intrigué, pour le moins qu'on puisse dire. Il a dit que cet hiver sera très vigoureux. Autrement dit, glacial et neigeux. Bien, que puis-je dire? Il y a des avantages et des inconvénients à cela. Du côté positif - des divertissements amusants - des luges, des patins, des skis, des boules de neige. Et négatif - chauffer la maison coûtera un joli centime. Afin de ne pas rester sans voix, en regardant le montant du reçu, il est recommandé d'isoler le «nid». Heureusement, il existe de nombreux matériaux pour réchauffer la pièce.
J'ai décidé de voir ce que les organisations de fabrication proposent aujourd'hui. Mon attention a été attirée sur la "vieille nouvelle" matière première - le verre mousse. Pourquoi «vieux nouveau»? Eh bien, comment puis-je vous expliquer? L'ancien a 86 ans et le nouveau est amélioré. Cependant, étudions le matériau plus en détail. Alors, voici un sujet pour vous - le verre mousse: inconvénients, avantages, production, coût et bien plus encore. Commençons? Va!
Verre cellulaire: caractéristiques du produit
Un peu d'histoire
Le verre mousse a été inventé par le travailleur honoré de la technologie et de la science Isaak Ilyich Kitaygorodsky. Le professeur s'est spécialisé dans la technologie de production du verre, car il la considérait comme le matériau du futur. L'invention du professeur a été améliorée par des spécialistes américains dans les années 40. Au départ, le verre mousse était utilisé comme matériau flottant. Mais il est vite devenu clair qu'il démontrait d'excellentes propriétés d'isolation thermique et phonique, facilement collé et facile à traiter. Par conséquent, il a été décidé de l'utiliser dans la construction.
Ainsi, au Canada, il y avait un bâtiment créé à partir de dalles de béton avec une couche de verre aéré. Cet événement s'est produit en 1946. L'expérience a été très réussie. Le matériel a reçu une reconnaissance bien méritée. Mais, au grand regret de l'inventeur, dans les pays soviétiques, il n'a pas gagné en popularité, car le coût était élevé et la technologie de production n'était pas élaborée. Il était fabriqué en URSS, mais la qualité des produits laissait à désirer, ce qui a conduit à la fermeture d'usines.
Mais à l'heure actuelle, la fabrication de ce produit bat son plein!
Concept


Isolation thermique du balcon
Le verre mousse est un matériau isolant thermique fait de verre de silicate et de matières premières qui favorisent la formation de gaz. L'isolant est souvent appelé verre mousse ou en nid d'abeille car il a une structure en nid d'abeille. Grâce à quoi il peut se vanter des propriétés les plus uniques.
Production
Matière première thermo-isolante - le verre mousse est fabriqué à l'aide de la technologie des poudres. Le processus est assez simple mais prend du temps. Il comprend les étapes suivantes:
- le verre de silicate brisé est écrasé;
- la miette est soigneusement mélangée avec des substances qui forment du gaz;
- la charge (masse homogène) est placée sur un tapis roulant ou dans des moules et envoyée au four;
- le verre se ramollit et se transforme en un mélange liquide mais visqueux;
- sous l'influence des gaz, le gruau mousse;
- le mélange refroidit lentement;
- des blocs, des plaques (feuilles) ou des granulés sont formés à partir du produit;
- le produit est traité conformément aux exigences;
- des plaques, des granulés ou des blocs de verre expansé sont emballés.
On peut dire que le verre ordinaire, qui est utilisé dans la vie quotidienne, et le produit cellulaire sont des jumeaux, puisqu'ils sont de composition identique, la seule différence réside dans les pores remplis de gaz dans le produit en mousse.
Seuls des matériaux de haute qualité et des équipements innovants sont utilisés pour la production de blocs, de granulés ou de dalles. De plus, les produits sont soumis à un contrôle, qui est effectué par des experts conformément aux normes de qualité européennes.
Avantages et inconvénients


Avantages et inconvénients
En décrivant les propriétés du matériau, nous pouvons conclure que le verre mousse est presque un matériau idéal pour l'isolation. Mais ce n’est pas le cas. Il présente des avantages et des inconvénients qui le caractérisent pleinement.
Avantages:
- sécurité pour les humains;
- propreté écologique;
- les propriétés antiseptiques garantissent une protection élevée contre les bactéries;
- longue durée de vie;
- multifonctionnalité;
- peut être utilisé dans la construction de divers bâtiments;
- se connecte facilement avec d'autres matériaux;
- ne se prêtent pas aux attaques de rongeurs ou d'insectes;
- reflète l'humidité, les rayons ultraviolets et infrarouges;
- résistance à la déformation mécanique;
- neutralité absolue vis-à-vis des acides;
- ne brûle pas;
- facilité de traitement.
Non sans inconvénients, qui a également rassemblé un nombre important. Le verre mousse présente les inconvénients suivants:
- coût élevé des matériaux en raison de la complexité de la fabrication utilisant les derniers développements;
- fragilité élevée, qui peut entraîner des fissures si elle est mal installée;
- faible perméabilité à la vapeur, ce qui peut conduire à l'accumulation de condensation sur la surface adjacente à un autre matériau qui n'est pas aussi résistant à l'humidité;
- sensibilité aux alcalis qui peuvent détruire la structure du matériau;
- poids lourd;
- la durabilité peut être absolument inutile si les couches restantes se détériorent, car la réutilisation du verre mousse n'est pas prévue;
- pendant le transport, il est nécessaire de protéger le matériau des chocs, car même un petit coup peut détruire le bloc;
- même un matériau légèrement endommagé ne peut plus être réparé, car ses propriétés mécaniques changent instantanément.
Le matériau s'est avéré loin d'être idéal. Et de nombreuses personnes hésitent encore à l'utiliser dans leurs créations. Cependant, le respect des règles de transport, d'installation et d'exploitation éliminera presque tous les inconvénients.
Vues
Aujourd'hui, il existe deux types de verre expansé: le granulé et le bloc.
De plus, il existe trois types d'isolants granulaires:
- gravier de verre mousse;
- pierre concassée en mousse de verre;
- sable de verre mousse.
Et il existe également trois types d'isolation par blocs:


- assiettes (feuille de verre mousse);
- blocs;
- coques (verre mousse en forme).
Si nous comparons les propriétés thermiques du verre granulaire et du bloc de verre, bien sûr, le gravier, la pierre concassée et le sable sont inférieurs aux dalles, aux coquilles et aux blocs. Mais, néanmoins, l'isolation granulaire est plus populaire en raison de son prix relativement bas.
Champ d'application
Le verre mousse, en raison de ses propriétés, est utilisé pour l'isolation:


- maisons privées;
- dépendances;
- complexes sportifs;
- structures souterraines;
- bâtiments industriels;
- institutions médicales;
- les établissements d'enseignement;
- objets de bureau;
- installations de loisirs - (par exemple, pour les bains, les parcs aquatiques, etc.).
Le champ d'application du matériau est très large, car le matériau isolant thermique est sans défaut:
- pour l'isolation du plafond: le sol du grenier est rempli d'un mortier de ciment-sable, puis les dalles sont posées, après quoi une chape de renforcement est réalisée;
- pour les murs: la surface est préparée, une colle spéciale est appliquée, le produit est appliqué, pressé fermement et recouvert de plâtre;
- pour le sol: une couche de sable (3-5 cm) est coulée, une isolation thermique est posée ou remplie, les joints sont fermés, une chape est faite, un revêtement est monté;
Oui, le matériau est populaire en raison de ses bonnes caractéristiques techniques.
Propriétés
Le verre cellulaire est réputé pour les propriétés suivantes:
- absorption du bruit - 56 dB;
- absorption d'eau - 0–5%;
- perméabilité à la vapeur - 0–0,005 mg / m * h * PA;
- conductivité thermique - 0,04-0,08 W / (m * K);
- humidité (sorption) - 0,2–0,5%;
- résistance à la flexion - 0,4-0,6 MPa;
- résistance à la compression - 0,7–4 MPA;
- température de fonctionnement effective - –260 - + 400 ° С;
- température de fonctionnement réelle - –260 - + 230 ° С;
- température de déformation - + 450 ° С.
Sur la base de ces données, des avantages et des inconvénients reconnus peuvent être identifiés.
Verre mousse - caractéristiques et domaine d'application de ce matériau isolant thermique
Verre mousse - matériau d'isolation thermique moderne obtenu en traitant du verre de silicate et un agent gonflant (généralement du charbon, de l'anthracite, du coke, de la suie) à des températures élevées, environ 1000 ○ С.
Le processus de moussage s'accompagne d'une augmentation du volume de verre de 14 à 15 fois par rapport à l'original. Dans les pays européens, les matériaux en verre expansé sont reconnus depuis longtemps et l'un des matériaux de construction de protection thermique les plus efficaces.
Matériau d'isolation thermique - verre mousse: caractéristiques et portée
Les propriétés d'isolation thermique du verre mousse sont dues à la présence dans sa structure d'un grand nombre de bulles fermées remplies d'air ou de dioxyde de carbone. Les matériaux en mousse de verre sont constitués uniquement de verre et de gaz (air, dioxyde de carbone) et leur composition chimique est identique à la composition du verre ordinaire que nous utilisons dans la vie quotidienne:
- oxyde de silicium;
- oxyde de calcium;
- l'oxyde de magnésium;
- oxyde de potassium;
- oxyde de sodium;
- oxyde d'aluminium.
La structure du verre mousse ressemble à un nid d'abeille (photo 1), ce qui assure une résistance relativement élevée du matériau, compte tenu de la petite taille des bulles et de l'épaisseur de leurs parois (le diamètre moyen des bulles est de 2000 µm , et l'épaisseur des parois des bulles est de 20 ... 100 µm).


Structure en verre mousse
Le verre mousse, en tant que matériau d'isolation thermique, a été développé depuis longtemps et a été produit industriellement depuis les années 50 ... 60 du siècle dernier. Au départ, en raison de son coût élevé, ce matériau n'était pas largement utilisé. Ce n'est qu'après l'amélioration de la technologie de production que le coût réduit du verre expansé lui a donné un «second souffle», bien que son coût ne soit pas bon marché non plus. Le verre mousse possède des propriétés physiques et chimiques élevées, ce qui conduit à une demande en constante augmentation.
Voici les principales caractéristiques du verre mousse
- conductivité thermique du verre mousse - 0,045 ... 0,060 W / m ∙ K;
- densité du matériau - 120 ... 140 kg / m3 (matériau isolant thermique relativement léger);
- le matériau est étanche à l'air;
- absorption d'eau - pas plus de 2,5 ... 5% ou absorption de surface - pas plus de 0,5 kg / m2;
- matière insoluble dans l'eau;
- résistance à la compression ultime - 0,4 ... 1,2 MPa, et certains blocs de verre mousse peuvent avoir une résistance de 4 ... 24 MPa (selon la marque de verre mousse);
- le matériau est étanche à la vapeur;
- module d'élasticité - 800 MN / m2;
- absorption du bruit - jusqu'à 60 dB (il est déterminé qu'une épaisseur de paroi de 10 cm en verre mousse est capable d'isoler une pièce d'un volume sonore allant jusqu'à 56 dB);
- plage de température de fonctionnement du matériau en verre mousse - de -200 ○ С à + 500 ○ С;
- le verre mousse est un matériau incombustible (au milieu du siècle dernier, les toits et les plafonds de bâtiments très importants étaient isolés de verre mousse: bâtiments de centrales nucléaires, hôtels haut de gamme, auxquels des exigences de sécurité incendie particulièrement élevées étaient imposées) ;
- isolation résistante aux produits chimiques;
- matériau écologique (non toxique), n'émet pas de substances nocives, y compris à haute température en cas d'incendie;
- matériau bio-résistant (pas de nourriture ni d'abri pour les rongeurs, les insectes, les insectes), le matériau ne pourrit pas;
- faible coefficient de dilatation thermique (0,9 · 10-6 K);
- le matériau ne rétrécit pas;
- le matériau n'est pas hygroscopique (ne se mouille pas dans un environnement humide);
- a une forte adhérence à la plupart des matériaux de construction: mortiers de plâtre, béton, mastics bitumineux, etc.
- haute durabilité (plus de 100 ans).
La principale caractéristique du verre mousse consiste en ce que ce matériau possède des propriétés thermiques élevées inchangées, qui ne changent pratiquement pas pendant toute la durée de son fonctionnement. Ainsi, les tests de matériaux de construction en mousse de verre après 50 ... 60 ans de fonctionnement ont montré que ses caractéristiques n'ont pas du tout changé, ce qui ne peut pas être dit à propos de nombreux autres matériaux d'isolation thermique.
En pratique, ce matériau ne présente aucun inconvénient, sauf un - un coût élevé (par rapport à d'autres matériaux isolants thermiques).
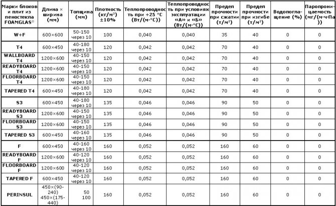
Les matériaux de construction en mousse de verre sont fabriqués sous la forme de:
- dalles de dimensions: largeur - 450 mm, longueur - 600 mm, épaisseur - 60, 80, 100, 120 mm;
- blocs de taille: 125 ÷ 450 × 125 ÷ 550 mm, épaisseur 20 ÷ 120 mm;
- miettes (granules sphériques).
Blocs d'isolation thermique et plaques de verre mousse - domaine d'application


Blocs d'isolation thermique et plaques de verre mousse
À l'aide de dalles et de blocs de verre en mousse, ils effectuent une isolation phonique et thermique des plinthes, des zones aveugles, des fondations, de diverses structures souterraines, isolent la façade, les murs internes et externes des immeubles et structures de grande hauteur, les toits (plats, en pente) , photo 3.


Portée du verre mousse
Tableau 1 présente des données utiles sur les dimensions des blocs de verre expansé, leur masse et leur volume.
Caractéristiques géométriques et d'expédition des blocs de verre mousse


Miette de verre mousse - portée
Les miettes sont produites à partir des mêmes matières premières que des blocs ou des plaques sous forme de granulés de différentes fractions: 0 ... 5 mm; 5 ... 7 mm; 7 à 20 mm.
La miette est produite directement ou est formée en découpant de grandes plaques de mousse en blocs. La miette est utilisée comme matériau d'isolation thermique en vrac dans la construction de murs extérieurs avec une couche intermédiaire et l'isolation des vieilles maisons. De plus, à l'aide de miettes de verre mousse, ils isolent les planchers et les toits, photo 4, 5.


Miettes de verre mousse


L'utilisation de copeaux de verre mousse pour l'isolation des murs et des sols
Le verre mousse est également utilisé pour isoler les canalisations d'un diamètre allant jusqu'à 1420 mm, les transitions, les tés, avec une température de chauffage jusqu'à 500 ° C, photo 6.
Matériau d'isolation thermique en verre mousse pour l'isolation des canalisations et de leurs pièces
Et en conclusion, au lieu d'une conclusion, nous donnerons des caractéristiques comparatives de certains matériaux calorifuges et de mousse de verre afin d'apprécier vraiment ce matériau unique (voir tableau 2).
Caractéristiques comparatives des matériaux d'isolation thermique des bâtiments


L'auteur de la publication est un expert de GIDproekt
Alexander A. Konev
Dignité
Le matériau présente de nombreux avantages. Considérons les principaux.
- Sécurité. Ne contient pas de substances nocives pour le corps humain.
- Respect de l'environnement. Produit à partir de matières premières respectueuses de l'environnement.
- Hygiène. Il a des propriétés antiseptiques.
- Durabilité. Durée de vie - plus de 100 ans.
- Polyvalence. Il est utilisé pour l'isolation de tous les bâtiments.
- Adhérence élevée. Se combine avec de nombreux matériaux de construction.
- Passivité biologique. Il n'a pas peur des rongeurs, des insectes et des micro-organismes.
- Résistance aux effets négatifs des facteurs climatiques. Il n'a pas peur des baisses de température, des précipitations, des UV, etc.
- Résister aux facteurs mécaniques. Il ne se déforme pas et ne perd pas ses propriétés, car il peut résister aux chocs et aux charges élevées.
- Non sensible à l'influence des facteurs chimiques. Ne réagit pas à l'acide.
- Résistant aux facteurs thermiques. Le verre mousse est un isolant absolument incombustible.
- Facilité de traitement. Parfaitement coupé avec une scie à métaux ordinaire.
Le matériau en vaut la peine, mais il y a des inconvénients et il y en a beaucoup, malheureusement.


isolation du toit avec verre mousse
Avis d'isolation
Les critiques des personnes qui ont utilisé le matériel notent les points suivants:
- les fabricants donnent une garantie pour le verre expansé de 50 à 100 ans;
- pendant le fonctionnement de la maison, le verre mousse ne se désagrège pas;
- les blocs, les dalles ne sont pas compatibles avec la maçonnerie;
- le matériau n'est absolument pas perméable à la vapeur.
Dans la construction de maisons, l'isolation en mousse de verre, comme indiqué par les critiques, est pertinente avec les fluctuations de température constantes dans la région.
Le faible niveau de transfert de chaleur, la rapidité d'installation, la résistance aux incendies et la sécurité environnementale garantissent l'utilisation du verre mousse comme matériau isolant pour tous les types de bâtiments.
désavantages
Bien sûr, chaque matière première a des points négatifs. Le verre mousse ne fait pas exception. Avant d'acheter du matériel, il est nécessaire d'étudier scrupuleusement les points négatifs.
- Prix élevé. Pour la production de matières premières, des équipements de haute technologie innovants sont nécessaires, ce qui entraîne sa hausse de prix. Et aussi la fabrication de verre expansé nécessite des coûts énergétiques élevés.
- Fragilité. Les matières premières, malgré leur résistance, sont très fragiles, ce qui conduit à des fissures si vous ignorez les recommandations d'installation.
- Manque de perméabilité à la vapeur. Le verre mousse, comme on l'a dit, n'est pas exposé aux effets destructeurs des facteurs biologiques, mais la surface en dessous est facile.
- Peur des alcalis et de l'acide fluorhydrique. Le verre cellulaire, comme une feuille de tremble, tremble à la «vue» des alcalis et de l'acide fluorhydrique, car ils sont capables de le détruire.
- Gravité. Les matières premières sont relativement lourdes, ce qui affecte négativement la structure du bâtiment.
- Durabilité. Bien entendu, une longue durée de vie est un plus. Mais il est peu probable que les matériaux utilisés pour construire l'installation durent plus de 100 ans. Cela signifie que la structure doit être réparée périodiquement et que le verre cellulaire n'est pas destiné à être réutilisé. Quelle sortie? Remplacement de l'isolation.
- Faible résistance aux chocs. Le verre cellulaire ne résiste même pas aux coups légers. L'influence mécanique est la «mort» du matériau. Bien sûr, si l'isolation est dans la structure, elle n'a pas peur des coups. Il en a peur lors du transport, du déchargement et de l'installation.
- Impossibilité de "réanimation". Si le verre est endommagé, il peut être mis en décharge. Il est impossible de coller ou de recouvrir les fissures.
Les propriétés ont joué une blague cruelle avec le verre en nid d'abeille, transformant un grand nombre d'avantages en inconvénients.
Prix
Le coût des morsures de verre mousse. Les prix, bien sûr, varient, car ils dépendent de nombreux facteurs, mais en moyenne, vous pouvez acheter des blocs pour 120 à 400 $ le mètre cube. Vous pouvez acheter des assiettes et des coquilles en payant 110 à 350 dollars, et vous pouvez obtenir une version granulaire en dépensant 35 à 100 dollars par mètre cube.
Que peux tu dire? L'isolation en mousse de verre est une entreprise très douteuse et coûteuse, car le matériau présente de nombreux inconvénients graves et, de plus, est incroyablement coûteux. Mais, comme on dit, le propriétaire est un maître. Ce n'est peut-être pas pour rien qu'ils l'appellent la matière première du futur. Acheter ou ne pas acheter? Telle est la question! Le choix vous appartient, chers lecteurs.
Chaleur et confort chez vous, chers amis! Rendez-vous sur d'autres pages de blog!
Citation de sagesse: la lecture est le meilleur enseignement (A.S. Pouchkine).
Application de verre mousse


Durée de vie élevée et résistance aux environnements agressifs, humidité élevée permettant une isolation thermique à l'aide de verre mousse dans les bâtiments résidentiels, industriels et commerciaux. Les dalles et blocs de verre mousse sont sélectionnés en fonction des exigences de protection des murs. Les matériaux épais empêchent un transfert de chaleur accru et maintiennent le régime de température créé dans le bâtiment. Idéal pour les bâtiments en bois (ne pas faire pourrir le bois).


Sur des photos détaillées sur l'isolation thermique avec du verre mousse, vous pouvez voir les façons d'utiliser les matières premières: pour les murs, les plinthes, les sous-sols et les locaux, les toits (du grenier ou du grenier).


Le matériau de construction granulaire est couramment utilisé pour protéger les toits plats.Il est utilisé avec des mélanges bitumineux et de ciment et des matériaux isolants contre la vapeur et l'humidité. La composition des grains de la matière première est choisie en fonction de la conception et de la forme du toit.








