Terme physique
Le marché en constante croissance et en développement des produits de construction présente une large gamme de matériaux pour l'isolation thermique. Il est nécessaire d'aborder correctement le choix de l'isolation thermique des locaux industriels et résidentiels et de faire attention à l'indicateur en question lors de la construction.

En raison de la mauvaise mesure du point de rosée, les murs s'embuent souvent, l'apparition de moisissures et parfois la destruction des structures
La frontière de la transition d'une température basse à l'extérieur des murs à une température plus élevée à l'intérieur des structures chauffées avec formation de condensation possible, les experts considèrent le point de rosée. Des gouttelettes d'eau apparaîtront sur toute surface de la pièce proche ou inférieure à la température du point de rosée. L'exemple le plus simple: au milieu de certaines pièces, par temps froid, de la condensation s'égoutte sur les vitres.
Les principaux facteurs affectant la détermination de la valeur sont:
- facteurs climatiques (valeur de température et humidité à l'extérieur);
- valeurs de température à l'intérieur;
- indicateur d'humidité à l'intérieur;
- la valeur de l'épaisseur des murs;
- perméabilité à la vapeur des isolants thermiques utilisés dans la construction;
- la présence de systèmes de chauffage et de ventilation;
- but des structures.


Une détermination correcte du point de rosée est essentielle dans la construction
Tous les phénomènes physiques étudiés dans le cours de physique à l'école nous entourent sans pauses pour le déjeuner, le sommeil et les vacances. Toute vie est physique, d'une manière ou d'une autre déjà maîtrisée par l'humanité et encore totalement inexplorée. Par exemple, de nombreux phénomènes naturels reconnus par les physiciens ont trouvé leur incarnation scientifique dans les activités pratiques de l'homme.
Voici la rosée du matin - la beauté d'un matin d'été. Mais de la même rosée qui tombe dans les locaux résidentiels en raison de fenêtres mal installées, d'une isolation hydraulique et thermique cassée, vous pouvez avoir un grand nombre de problèmes. Et certains paramètres, lorsque l'humidité tombe sur les surfaces environnantes, ont reçu un beau nom - le point de rosée.
Point de rosée dans la construction
Le calcul du point de rosée est d'une grande importance dans la construction. Grâce à elle, il est déterminé:
- Épaisseur et matériau de la paroi;
- Épaisseur, matériau et lieu de l'isolation;
- Système de ventilation et de chauffage dans la chambre.
L'ignorance ou le calcul incorrect du point de rosée entraîne la formation de moisissures et de moisissures. Cela a un impact négatif sur la durabilité du bâtiment, raccourcissant considérablement sa durée de vie.
Dans la sphère de la fenêtre, le point de rosée est directement lié au problème de condensation sur les fenêtres. Connaissant sa définition, vous pouvez facilement l'éliminer - il suffit de réduire l'humidité de l'air ou d'augmenter la température de la surface du verre.
L'humidité de l'air
Dans la définition correcte du concept de «point de rosée», il y a un autre terme physique important - le refroidissement par air isobare. Peu de gens, en regardant les flaques d'eau sur le rebord de la fenêtre, formées à partir de l'humidité accumulée sur le verre, se souviendront de la loi de Gay-Lossak - le changement relatif du volume d'une masse donnée de gaz à une pression constante est proportionnel au changement de température .
Bien que les gens entendent parler de l'humidité de l'air tous les jours dans les prévisions météorologiques. La quantité de vapeur d'eau dans l'air ambiant, prise dans un volume de 1 cu. m est appelé humidité absolue. Mais l'humidité relative de l'air est un indicateur du rapport de la quantité de vapeur d'eau dans l'air (calculée en pourcentage) au maximum possible à la température disponible.
Et c'est en considérant cette caractéristique que surgit le concept de «point de rosée».Ce que c'est? C'est la température à laquelle la vapeur d'eau devient saturée et est précipitée par des gouttelettes d'eau à la pression actuelle. Si les prévisions météorologiques indiquent une humidité relative élevée, la température du point de rosée se rapprochera de la température ambiante.
Dans la vie de tous les jours, une personne pense rarement à un tel concept en tant que point de rosée. Sa définition n'est importante que dans certaines industries, dans la construction, la médecine. Mais pour tout le monde, une certaine humidité de l'air ambiant est importante pour une bonne santé. Lorsque l'air est d'humidité suffisante, il est facile et libre de respirer, mais si cet indicateur change à pression et à température ambiante constantes, alors soit une sécheresse, soit une humidité excessive se fait sentir.
C'est sur la base de l'humidité relative de l'air que le point de rosée peut être déterminé. Ce phénomène est un aspect très complexe et significatif de la physique atmosphérique. C'est également important pour la vie humaine. Par exemple, les constructeurs savent par expérience que le point de rosée est un paramètre important d'un bâtiment de haute qualité qui affecte toute la vie des futurs résidents ou utilisateurs.
Quel est le point de rosée
Beaucoup peuvent être surpris et répondre qu'il s'agit d'un simple processus de condensation de vapeur, et ils auront tout à fait raison. Après tout, le point de rosée est la température à laquelle la vapeur d'eau ou l'humidité contenue dans l'air qui nous entoure diminue tellement que cette vapeur se transforme en gouttelettes d'eau. Autrement dit, il existe un processus de condensation de la vapeur d'eau.
Mais il convient de noter que le processus de condensation lui-même est influencé par deux facteurs à la fois: l'humidité et la température. Mais encore, généralement confronté au terme «point de rosée», la signification principale est donnée à l'humidité relative. Et ici, tout est interconnecté. Par exemple, si l'humidité relative est plus élevée, le point de rosée est également plus élevé et se rapproche de la température ambiante. À 100% d'humidité relative, le point de rosée est le même que la température. Voici un alignement purement mathématique.
Formule de calcul
Tp = b γ (T, RH) a - γ (T, RH), {Displaystyle T_ {p} = {frac {b gamma (T, RH)} {a-gamma (T, RH)}},} a {Displaystyle a} = 17,27, b {Displaystyle b} = 237,7 ° C, γ (T, RH) = a Tb T lnRH {Displaystyle gamma (T, RH) = {frac {a T} {b T}} ln RH}, T {displaystyle T} - température en degrés Celsius, RH {displaystyle RH} - humidité relative en fractions volumiques (0 {amp} lt; RH {displaystyle RH} {amp} lt; 1.0). 0 ° C {amp} lt; T {Displaystyle T} {amp} lt; 60 ° C 0,01 {amp} lt; RH {Displaystyle RH} {amp} lt; 1,00 0 ° C {amp} lt; Tp {Displaystyle T_ {p}} {amp} lt; 50 ° C Tp≈T - 1 - RH0.05. {Displaystyle T_ {p} approx T- {frac {1-R! H} {0.05}}.} RH≈1−0.05 (T - Tp). {Displaystyle R! Happrox 1-0.05 (T-T_ {p}).}


Cette formule peut être utilisée pour calculer l'humidité relative à partir d'un point de rosée connu
Comme vous pouvez le voir dans la formule, la valeur dépend directement des valeurs de deux paramètres:
- indice d'humidité;
- lecture de la température réelle.
À une humidité relative élevée, le paramètre devient plus élevé et plus proche du niveau de la température réelle. Pour calculer cette variable, il existe un tableau avec un petit pas de paramètres. À partir de là, vous pouvez trouver la valeur requise en mesurant l'humidité relative et la température réelle.


Tableau 1. Détermination de l'indicateur à l'aide du rapport des paramètres d'influence dont dépend le point de rosée
Le point de rosée lui-même, en tant que phénomène naturel, est calculé de plusieurs manières. Le plus simple est représenté par la formule dans la figure ci-dessous.
Dans ce T
- point de rosée, HR - humidité relative, Т - température, les valeurs numériques 243.12 et 17.62 sont constantes.
Cette formule donne une erreur de 1 0С, et si nous la prenons en compte, le paramètre sera calculé suffisamment correctement.
Calcul du point de rosée
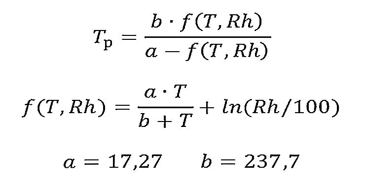
Vous pouvez calculer la température de condensation en utilisant la formule suivante:
Tr = (b * f (T, Rh)) / (a-ƒ (T, Rh))
ƒ (T, Rh) = (a * T) / (b + T) + ln (Rh / 100)
Où:
- Tr - température du point de rosée, ° С;
- a (constante) = 17,27;
- c (constant) = 237,7;
- Т - température de l'air, ° С;
- Rh - humidité relative de l'air,%;
- ln est le logarithme népérien.
Cette formule a une erreur de ± 0,4 ° C dans la plage:
- 0 ° C
- 0,01
- 0 ° С
Calculateurs de point de rosée
Différents appareils sont utilisés pour déterminer la température de condensation:
- Psychromètre
- un appareil qui mesure l'humidité relative et la température de l'air. Il se compose de deux thermomètres: l'un est sec et l'autre est humidifié en permanence. Au fur et à mesure que l'humidité s'évapore, le thermomètre humidifié se refroidit progressivement. Plus l'humidité relative de l'air est basse, plus sa température est basse. Le psychromètre est utilisé dans des conditions de laboratoire. - Thermo-hygromètre portable
- un appareil numérique qui affiche l'humidité et la température de l'air, et certains modèles affichent également la valeur du point de rosée. Utilisé dans la construction pour inspecter les bâtiments. - Imageurs thermiques
... Certains instruments incluent une fonction de calcul du point de rosée. Dans le même temps, les zones avec des températures inférieures à sa valeur sont affichées sur l'écran de la caméra thermique.
Tableau de calcul du point de rosée
Pour un calcul rapide du point de rosée, utilisez le tableau pour son calcul. Connaissant la température réelle et l'humidité relative de l'air, vous pouvez facilement déterminer la température de condensation.


Point de rosée - tableau de calcul
Ainsi, par exemple, à une température de l'air de 20 ° C et une humidité relative de 40%, la condensation se produira sur des surfaces avec une température de 6 ° C et moins.
Tableau complet
Calculateur de point de rosée
Résultat du calcul
Point de rosée et corrosion
Le point de rosée de l'air est le paramètre le plus important pour la protection anticorrosion, il indique l'humidité et la possibilité de condensation.
Si le point de rosée de l'air est supérieur à la température du substrat (le substrat est généralement une surface métallique), alors une condensation d'humidité se produira sur le substrat.
La peinture appliquée sur un substrat de condensation n'adhère pas correctement à moins que des peintures spécialement formulées ne soient utilisées (voir la fiche technique du produit ou les spécifications de la peinture pour obtenir de l'aide).
Ainsi, l'application de peinture sur un substrat de condensation aura pour conséquence une mauvaise adhérence et la formation de défauts tels que pelage, cloquage, etc., conduisant à une corrosion et / ou un encrassement prématurés.
Pourquoi avez-vous besoin de déterminer le point de rosée dans la construction?
La mesure du point de rosée est une tâche assez simple si vous utilisez certaines formules et règles. Mais pourquoi est-il nécessaire que les personnes impliquées dans la construction connaissent ce paramètre naturel? Tout est très simple ici - pour comprendre le processus de réchauffement d'une pièce, car la couche qui sert d'obstacle au froid et à l'humidité peut être située à la fois à l'intérieur de la pièce et à l'extérieur, ou elle peut être totalement absente.
- le matériau et l'épaisseur du matériau de tous les composants du mur;
- température ambiante;
- Température extérieure;
- humidité de l'air intérieur;
- humidité de l'air à l'extérieur de la pièce.
Plus le point de rosée est physiquement proche de la surface intérieure du mur, plus le mur sera mouillé longtemps. Cela se produira lorsque la température de l'air baisse à la fois à l'extérieur et à l'intérieur. Les constructeurs professionnels savent que pour créer un climat intérieur optimal dans les zones à forte variation annuelle de température, le bâtiment doit tout d'abord être isolé de l'extérieur, après avoir calculé l'épaisseur de la couche isolante pour déterminer correctement l'emplacement physique de la rosée. pointez-y.
Définition du point de rosée
Afin d'assurer les qualités normales des structures enveloppantes pour la protection thermique, il est nécessaire non seulement de connaître la valeur de la température de retombée du condensat, mais également sa position dans la structure enveloppante. La construction des murs extérieurs est désormais réalisée selon trois options principales, et dans chaque cas, l'emplacement de la limite de condensation peut être différent:
- la structure a été construite sans dispositifs d'isolation supplémentaires - de la maçonnerie, du béton, du bois, etc.Dans ce cas, pendant la saison chaude, le point de rosée est situé plus près du bord extérieur, mais si la température de l'air baisse, il se déplacera progressivement vers la surface intérieure, et un moment peut survenir lorsque cette limite est à l'intérieur de la pièce, et puis de la condensation apparaîtra sur les surfaces intérieures.
- la structure a été érigée avec une couche supplémentaire d'isolation de l'extérieur. Avec le calcul correct de l'épaisseur de tous les matériaux, le point de rosée lors de l'isolation avec de la mousse ou d'autres types d'isolation efficace sera situé à l'intérieur de la couche isolante et la condensation n'apparaîtra pas à l'intérieur des locaux;
- la structure est isolée de l'intérieur. Dans ce cas, la limite d'apparition de condensation sera située près du côté intérieur et, avec un fort coup de froid, elle peut se déplacer vers la surface intérieure, vers le joint avec l'isolant. Dans ce cas, il est également très probable que l'apparition d'humidité à l'intérieur des locaux soit possible, entraînant des conséquences désagréables. Par conséquent, ce type d'isolation n'est pas recommandé et n'est réalisé que dans les cas où il n'y a pas d'autres solutions. Dans le même temps, il est nécessaire de prévoir des mesures supplémentaires pour éviter les conséquences négatives - pour créer un espace d'air entre l'isolation et le revêtement, des trous de ventilation, prévoir une ventilation supplémentaire des locaux pour éliminer la vapeur d'eau, la climatisation avec une diminution de l'humidité .
Emplacement du point de rosée pour différentes options d'isolation des murs
Considérons, à l'aide d'un exemple, comment peut être calculée la position de la limite de condensation dans une structure avec isolation extérieure. Le calcul nécessitera les données suivantes:
- l'épaisseur de la paroi, y compris le matériau principal (h1, en mètres) et l'isolation (h2, m);
- coefficients de conductivité thermique pour la structure porteuse (λ1, W / (m * ° C) et l'isolation (λ1, W / (m * ° C);
- température ambiante standard (t1, ° C);
- température de l'air extérieur, prise pour la saison la plus froide de la région (t2, ° C);
- humidité relative normative dans la pièce (%);
- point de rosée standard à une température et une humidité données (° C)
Nous accepterons les conditions suivantes pour le calcul :
- mur de briques d'une épaisseur de h1 = 0,51 m, isolation - polystyrène expansé d'une épaisseur de h2 = 0,1 m;
- coefficient de conductivité thermique, établi selon le document normatif pour les briques de silicate posées sur un mortier de ciment-sable, selon le tableau de l'annexe "D" SP 23-101-2004 λ1 = 0,7 W / (m * ° C);
- coefficient de conductivité thermique pour l'isolation PPS - polystyrène expansé ayant une densité de 100 kg / m² selon le tableau de l'appendice "D" SP 23-101-2004 λ2 = 0,041 W / (m * ° C);
- température intérieure 22 ° C, telle qu'établie par les normes dans la plage de 20-22 ° C selon le tableau 1 SP 23-101-2004 pour les locaux d'habitation;
- température de l'air extérieur –15 ° C pour la saison la plus froide dans une zone conventionnelle;
- humidité intérieure - 50%, également conforme à la norme (pas plus de 55% selon le tableau 1 SP 23-101-2004) pour les locaux d'habitation;
- valeur du point de rosée pour les valeurs données de température et d'humidité, que nous tirons du tableau ci-dessus - 12,94 ° C.
Nous vous suggérons de vous familiariser avec: La consommation de mousse d'assemblage lors de l'installation de fenêtres
Tout d'abord, nous déterminons la résistance thermique de chaque couche qui compose le mur et le rapport de ces valeurs entre elles. Ensuite, nous calculons la différence de température dans la couche portante de la maçonnerie et à la frontière entre la maçonnerie et l'isolation:
- la résistance thermique de la maçonnerie est calculée comme le rapport de l'épaisseur au coefficient de conductivité thermique: h1 / λ1 = 0,51 / 0,7 = 0,729 W / (m2 * ° C);
- la résistance thermique de l'isolant sera: h2 / λ2 = 0,1 / 0,041 = 2,5 W / (m2 * ° C);
- rapport de résistance thermique: N = 0,729 / 2,5 = 0,292;
- la différence de température dans la couche de maçonnerie sera: T = t1 - t2xN = 22 - (-15) x 0,292 = 37 x 0,292 = 10,8 ° C;
- la température à la jonction de la maçonnerie et de l'isolation sera: 24-10,8 = 13,2 ° C.
Sur la base des résultats du calcul, nous allons construire un graphique des changements de température dans la masse du mur et déterminer la position exacte du point de rosée.
Le graphique des variations de température dans l'épaisseur du mur et l'emplacement du point de rosée lors de l'isolation à l'extérieur
D'après le graphique, on voit que le point de rosée, qui est de 12,94 ° C, se situe dans l'épaisseur de l'isolant, ce qui est la meilleure option, mais très proche de la jonction entre la surface du mur et l'isolant.Avec une diminution de la température de l'air extérieur, la limite de condensation peut se déplacer vers ce joint et plus loin dans le mur. En principe, cela n'entraînera pas de conséquences particulières et de la condensation ne peut pas se former en surface à l'intérieur des locaux.
Les conditions de calcul ont été adoptées pour la Russie centrale. Dans les conditions climatiques des régions situées dans des latitudes plus septentrionales, une grande épaisseur du mur et, par conséquent, une isolation sont prises, ce qui garantira l'emplacement de la limite de la formation de condensat dans la couche isolante.
Le graphique des variations de température dans l'épaisseur du mur et l'emplacement du point de rosée lors de l'isolation de l'intérieur
Nous voyons que la limite de condensation de l'air dans ce cas se déplacera presque vers la surface intérieure et la probabilité d'humidité dans la pièce lorsque la température extérieure chutera augmentera considérablement.
Si vous avez besoin de calculer le point de rosée, une calculatrice pour déterminer rapidement sa valeur se trouve sur le portail.
Définition précise
Les valeurs du point de rosée en ° C pour un certain nombre de situations sont déterminées à l'aide d'un psychromètre à fronde et de tables spéciales. Tout d'abord, la température de l'air est déterminée, puis l'humidité, la température du support et, à l'aide du tableau des points de rosée, déterminez la température à laquelle il n'est pas recommandé d'appliquer des revêtements sur la surface.
Si vous ne trouvez pas exactement vos lectures sur le psychromètre à fronde, trouvez un indicateur une division plus haut sur les deux échelles, à la fois l'humidité relative et la température, et l'autre indicateur, respectivement, une division plus bas et interpolez la valeur requise entre eux.
L'ISO 8502-4 est utilisée pour déterminer l'humidité relative et le point de rosée sur des surfaces en acier préparées pour la peinture.
Tableau de température
Les valeurs du point de rosée en degrés Celsius dans différentes conditions sont données dans le tableau [4].
Humidité relative,% Température bulbe sec, ° C 0 2,5 5 7,5 10 12,5 15 17,5 20 22,5 25 20 −20 −18 −16 −14 −12 −9,8 −7,7 −5,6 −3,6 −1,5 −0,5 25 −18 −15 −13 −11 −9,1 −6,9 −4,8 −2,7 −0,6 1,5 3,6 30 −15 −13 −11 −8,9 −6,7 −4,5 −2,4 −0,2 1,9 4,1 6,2 35 −14 −11 −9,1 −6,9 −4,7 −2,5 −0,3 1,9 4,1 6,3 8,5 40 −12 −9,7 −7,4 −5,2 −2,9 −0,7 1,5 3,8 6,0 8,2 10,5 45 −10 −8,2 −5,9 −3,6 −1,3 0,9 3,2 5,5 7,7 10,0 12,3 50 −9,1 −6,8 −4,5 −2,2 0,1 2,4 4,7 7,0 9,3 11,6 13,9 55 −7,8 −5,6 −3,3 −0,9 1,4 3,7 6,1 8,4 10,7 13,0 15,3 60 −6,8 −4,4 −2,1 0,3 2,6 5,0 7,3 9,7 12,0 14,4 16,7 65 −5,8 −3,4 −1,0 1,4 3,7 6,1 8,5 10,9 13,2 15,6 18,0 70 −4,8 −2,4 0,0 2,4 4,8 7,2 9,6 12,0 14,4 16,8 19,1 75 −3,9 −1,5 1,0 3,4 5,8 8,2 10,6 13,0 15,4 17,8 20,3 80 −3,0 −0,6 1,9 4,3 6,7 9,2 11,6 14,0 16,4 18,9 21,3 85 −2,2 0,2 2,7 5,1 7,6 10,1 12,5 15,0 17,4 19,9 22,3 90 −1,4 1,0 3,5 6,0 8,4 10,9 13,4 15,8 18,3 20,8 23,2 95 −0,7 1,8 4,3 6,8 9,2 11,7 14,2 16,7 19,2 21,7 24,1 100 0,0 2,5 5,0 7,5 10,0 12,5 15,0 17,5 20,0 22,5 25,0 Gamme confort
Une personne avec des valeurs élevées du point de rosée se sent mal à l'aise. Dans les climats continentaux, les conditions avec un point de rosée entre 15 et 20 ° C provoquent un certain inconfort, tandis que l'air avec un point de rosée supérieur à 21 ° C est perçu comme étouffant. Un point de rosée plus bas, inférieur à 10 °C, est en corrélation avec des températures ambiantes plus basses et le corps nécessite moins de refroidissement [non spécifié 2825 jours].
Point de rosée, ° C Perception humaine Humidité relative (à 32 ° C),% plus de 26 perception extrêmement élevée, mortelle pour les patients asthmatiques 65 ans et plus 24—26 état extrêmement inconfortable 62 21—23 très humide et inconfortable 52—60 18—20 désagréablement perçu par la plupart des gens 44—52 16—17 confortable pour la plupart, mais la limite supérieure d'humidité se fait sentir 37—46 13—15 à l'aise 38—41 10—12 très confortable 31—37 moins de 10 un peu sec pour certains 30 Le calcul du point de rosée est un algorithme assez complexe qui nécessite non seulement la connaissance de certains paramètres physiques, mais également la capacité d'utiliser certaines formules mathématiques. Un processus de calcul complexe et assez long peut être supprimé en utilisant des valeurs tabulaires. Dans ces tableaux, l'humidité relative et la température ambiante sont indiquées, l'intersection de ces paramètres dans la grille du tableau donne la température du point de rosée.
La vapeur d'eau se condense le plus souvent sur les murs eux-mêmes ou à l'intérieur de leur structure s'ils ne sont pas suffisamment isolés ou construits. Sans isolation, la valeur sera proche de la température de l'intérieur du mur, et dans certains cas du mur au milieu de la maison. Lorsque la température à l'intérieur des structures enveloppantes est inférieure à l'indicateur, alors pendant une vague de froid à une température extérieure négative, de la condensation tombera.
Il existe plusieurs endroits où l'indicateur peut être situé sur des structures non isolées:
- à l'intérieur de la structure, près de sa partie extérieure, le mur restera sec;
- à l'intérieur du mur, mais près de l'intérieur, le mur devient humide avec les changements de température;
- le côté du mur qui se trouve dans le bâtiment sera constamment recouvert de condensation.
Les experts ne recommandent pas d'isoler les locaux de l'intérieur, expliquant cela par le fait que lors de l'utilisation de cette méthode d'isolation thermique, le paramètre sera sous la couche isolante au milieu de la pièce. En conséquence, une grande accumulation d'humidité se produira.
- la condensation peut s'accumuler au centre du mur et, par temps froid, se déplacer vers l'emplacement des composants d'isolation thermique;
- le lieu d'accumulation d'humidité peut devenir la bordure de la structure enveloppante et de la couche isolante, qui humidifie et forme de la moisissure au milieu des pièces;
- au milieu de la couche isolante elle-même (elle sera progressivement saturée d'humidité, commencera à moisir et à pourrir de l'intérieur).


Le point de rosée est formé de trois composants: la pression atmosphérique, la température de l'air et l'humidité.
Du polystyrène, de la laine minérale ou un autre type d'isolant doit être placé à l'extérieur du bâtiment, ce qui permettra de placer la valeur dans la couche isolante (avec cette disposition, les murs intérieurs resteront secs). Pour une compréhension plus claire du paramètre, il existe des graphiques de son placement sur les murs des maisons isolées, ainsi que sur les bâtiments qui n'ont pas de couche isolante. Pour effectuer vous-même un tel calcul, vous pouvez déterminer le point de rosée dans le mur avec une calculatrice.Le résultat des erreurs commises lors du calcul des paramètres sera une accumulation constante de condensation, une humidité élevée, le développement de dépôts fongiques et de moisissures. Les locaux industriels, administratifs ou résidentiels ne pourront plus servir pendant longtemps: des processus négatifs accéléreront la destruction. Des coûts supplémentaires seront nécessaires pour l'entretien continu et la révision.
Tableau du point de rosée
Pour calculer le point de rosée, vous avez besoin d'appareils: un thermomètre, un hygromètre.
- Mesurez la température à une hauteur de 50 à 60 cm du sol (ou de la surface) et l'humidité relative.
- Déterminez la température du point de rosée à partir du tableau.
- Mesurez la température de surface. Si vous ne disposez pas d'un thermomètre sans contact dédié, placez un thermomètre ordinaire sur une surface et couvrez-le pour l'isoler de l'air. Prenez des mesures après 10 à 15 minutes.
- La température de surface doit être d'au moins quatre (4) degrés au-dessus du point de rosée. Dans le cas contraire, il n'est PAS POSSIBLE d'effectuer des travaux d'application de sols en polymère et de revêtements en polymère!
Il existe des appareils qui calculent immédiatement le point de rosée en degrés C. Dans ce cas, un thermomètre, un hygromètre et un tableau du point de rosée ne sont pas nécessaires - ils sont tous combinés dans cet appareil.
Nous vous proposons de vous familiariser avec: Disposition d'un plancher en bois dans une baignoire: comment poser un plancher à partir de planches, comment poser, poser de vos propres mains, comment le faire sur un sol chaud
Différents revêtements polymères « se rapportent » différemment à l'humidité sur la surface pendant l'application. Les matériaux en polyuréthane sont les plus «sensibles» à l'apparition du point de rosée: revêtements de peinture, sols autonivelants en polyuréthane, vernis, etc. Cela est dû au fait que l'eau pour polyuréthane est un durcisseur, et avec un excès d'humidité, la réaction de polymérisation se déroule très rapidement.
Il est important de considérer que le point de rosée est dangereux non seulement au moment du revêtement, mais également pendant le durcissement. Ceci est particulièrement dangereux pour les sols autonivelants, car le temps de leur durcissement initial est assez long (jusqu'à une journée).
Les sols et revêtements autonivelants époxy sont «moins sensibles» à l'humidité, mais la détermination du point de rosée est néanmoins un gage de qualité lors de l'installation de sols et de peintures en polymère.
6mar18
point de rosée
- a = 17,27,
- b = 237,7,
Nous examinons ici comment calculer le point de rosée de plusieurs manières:
- en utilisant le tableau du document normatif;
- selon la formule;
- à l'aide d'un calculateur en ligne.
Le calcul du point de rosée lors de l'isolation d'une maison peut être effectué à l'aide du tableau du document normatif SP 23-101-2004 "Conception de la protection thermique des bâtiments" (Moscou, 2004)
Condensation sur les fenêtres
Les nouvelles technologies rendent la vie plus confortable. Par exemple, les fenêtres en plastique ont permis de rendre les bâtiments plus protégés des aléas climatiques, des bruits extérieurs, de se réchauffer plus efficacement, d'abandonner le devoir de routine automne-printemps de calfeutrer et d'excaver les cadres de fenêtres. Mais cette option ne fonctionne à 100% que si les fenêtres sont installées conformément à tous les paramètres, y compris en tenant compte d'un facteur tel que la température du point de rosée.
Les cadres de fenêtres en bois, même s'ils sont bien calfeutrés, ont des micropores naturels qui servent en quelque sorte de conduits de ventilation. Ces montures sont dites «respirantes». Mais les fenêtres en plastique sont privées d'un composant indispensable pour créer un microclimat confortable. C'est pourquoi, lorsque l'humidité et la température cessent d'être dans un certain équilibre, les fenêtres se mettent à «pleurer» - l'humidité s'accumule sur les cloisons en verre et en plastique, s'écoulant vers le bas et formant des flaques d'eau sur les rebords des fenêtres.
Cela affecte négativement l'état des locaux - l'humidité augmente, les objets qui s'y trouvent peuvent devenir humides et moisis. Lors de l'installation de fenêtres en plastique, vous devez toujours vous rappeler que le point de rosée dépend de deux facteurs: la température de la surface de la fenêtre et l'humidité de la pièce.
Une fenêtre à une chambre dans un climat avec des températures de l'air basses va dans tous les cas «pleurer» si une telle fenêtre se trouve dans un salon chauffé. Par conséquent, dans ce cas, il est recommandé d'installer non même deux, mais des fenêtres à trois chambres. Ensuite, le verre intérieur sera suffisamment chaud par rapport au verre extérieur pour rester sec.
Très souvent, les fabricants de fenêtres modernes doivent accepter les affirmations selon lesquelles leurs clients embueraient leurs fenêtres. La formation de condensation sur les fenêtres n'est pas seulement esthétiquement peu attrayante, mais menace également l'engorgement des structures en bois et, par conséquent, la formation de moisissure. Jetons un coup d'œil aux causes possibles de condensation sur les fenêtres.
Eh bien, si cela s'est produit sur les fenêtres, seuls les fenêtres et leurs fabricants sont à blâmer. Logiquement, c'est correct, mais s'il n'y a pas d'eau dans la fenêtre elle-même et qu'elle ne peut pas en émettre, d'où vient le condensat?
Fenêtre à double vitrage à une chambre - vous ne devriez pas économiser sur les fenêtres à double vitrage, comme on dit, l'avare paie deux fois. Une unité à double vitrage ordinaire avec une chambre (non économe en énergie) vous permettra sûrement de vous familiariser avec la condensation sur les fenêtres. Pour éliminer la cause de la buée, il est nécessaire de remplacer l'unité vitrée, pas la fenêtre entière, mais uniquement l'unité vitrée.
Tort
Droite
Les radiateurs de chauffage soufflent de l'air chaud au-dessus de la fenêtre, et s'ils sont bloqués par un rebord de fenêtre, il n'y aura pas de circulation d'air chaud - la fenêtre sera toujours froide, en conséquence, de la condensation apparaîtra dessus.
Vous pouvez éliminer l'apparence de la condensation en réduisant la taille du rebord de la fenêtre ou en retirant la batterie à l'extérieur du rebord de la fenêtre. S'il n'y a pas de possibilité pour de telles options, vous devrez rechercher une source supplémentaire pour le chauffage du verre.
Mauvaise ventilation
Les grilles de ventilation ont souvent tendance à être obstruées par toutes sortes de déchets - poussière, toiles d'araignée, après quoi elles cessent d'aspirer l'air humide, l'humidité s'installe sur le verre et les fenêtres se mettent à pleurer. Et dans les vieilles maisons, les conduits de ventilation sont presque toujours bouchés et n'ont jamais été nettoyés.
Un exemple d'organisation du flux d'air: ventilation et ionisation de l'air
Vous pouvez éliminer la formation de condensation en nettoyant ou en remplaçant les grilles, et si la ventilation est obstruée et qu'il n'y a aucun moyen de la nettoyer, vous devrez faire une ventilation supplémentaire.
Sélection des éléments de tuyauterie
Le système de tuyauterie est l'épine dorsale du système de chauffage et le choix des éléments de tuyauterie doit être pris avec le plus grand soin.Aujourd'hui, l'assortiment du marché propose des tuyaux fabriqués à partir de divers matériaux pour une installation dans le système de chauffage d'une maison privée:
- devenir;
- les polymères;
- cuivre.
Les tuyaux en acier sont généralement revendiqués pour leur faible résistance aux processus corrosifs, ce qui peut affecter, entre autres, les performances de la chaudière de chauffage elle-même. Les tuyaux en cuivre nécessitent des matériaux d'assemblage spéciaux et sont coûteux. En conséquence, les produits les plus populaires sur le marché des pièces d'assemblage de canalisations sont les tuyaux en polymère. Produits métal-plastique particulièrement éprouvés, qui présentent les avantages incontestables suivants:
- perméabilité à l'oxygène;
- légère expansion linéaire;
- augmentation de la force;
- non-susceptibilité à la corrosion;
- facilité d'installation et d'utilisation.
L'influence de la canalisation sur l'efficacité du circuit de chauffage dépend du système préféré: deux ou monotube. La dernière option ne démontre qu'un avantage tel que le faible coût. Le système à deux tuyaux est plus préférable tant du point de vue de ses fonctions que du point de vue de la commodité: son dispositif permet de réguler séparément la température de l'air dans chaque pièce.
Observations du point de rosée
La température de point de rosée la plus élevée était de 35 ° C et a été enregistrée à Jask (Iran) le 20 juillet 2012.
Le calcul du point de rosée est un paramètre important pour la réalisation de nombreux types de travaux techniques, pour la santé humaine. Il est inclus dans les phénomènes naturels physiques et peut se rapporter à une science telle que la météorologie - l'observation du temps. Ce domaine d'étude de la nature est né il y a très longtemps, mais en tant que domaine scientifique, il a été organisé au 17ème siècle, lorsque Galileo Galilei a inventé un thermomètre et Otto von Guericke - un baromètre.
Les mesures de température, d'humidité de l'air, de pression atmosphérique ont permis de tirer une conclusion sur un paramètre tel que le point de rosée. On ne sait pas exactement quand il a été enregistré pour la première fois et a commencé à être utilisé dans diverses sphères de la vie humaine, mais les observations et la fixation de ce phénomène physique sont effectuées constamment dans tous les points du globe.
La température de point de rosée la plus élevée a été enregistrée dans la ville iranienne de Jaska le 20 juillet 2012 et était de 35 ° C. Vous pouvez maintenant comprendre pourquoi, avec une augmentation de l'humidité de l'air et de la température ambiante, il devient difficile de respirer - dans ce cas, un paramètre tel que le point de rosée joue un rôle. Ce que c'est? Facteur du rapport de l'humidité de l'air et de la température à laquelle l'humidité se condense.
Point de rosée et rupture du métal
Les développements techniques ont permis de ne pas calculer le point de rosée par des formules, mais d'utiliser un dispositif spécial qui détermine automatiquement ce paramètre pour l'humidité et les hydrocarbures - c'est ce que l'on appelle l'analyseur du point de rosée. Il est utilisé par des spécialistes lors de certains types de travaux, par exemple lors de l'application d'un revêtement de protection sur des appareils et des systèmes constitués de matériaux corrodés en raison d'une humidité élevée.
Après tout, si la surface avant l'application du revêtement a une sécheresse insuffisante, la protection appliquée ne fonctionnera pas, car une adhérence suffisante, c'est-à-dire une adhérence entre les matériaux, n'apparaîtra pas. La surface peinte sera couverte de renflements, de fissures et le matériau de base continuera à se détériorer même sous protection. C'est pour une protection anticorrosion de haute qualité qu'il est nécessaire de connaître le point de rosée, en le calculant à l'aide de formules et d'analyseurs.
Notes (modifier)
- ↑ RMG 75-2004 "GSI. Mesures de la teneur en humidité des substances. Termes et définitions "(À partir du 01.08.2015 RMG 75-2014 commence à fonctionner)
- ↑ JV 50.13330.2012 "Protection thermique des bâtiments"
- ^ John M. Wallace, Peter V. Hobbs.Vapeur d'eau dans l'air // Sience atmosphérique. Une enquête introductive .. - Deuxième édition. - Washington: Academic Press Elsevier, 2006 .-- S.83 .-- 551 p. - ISBN 978-0-12-732951-2.
- ↑ ISO 8502-4, Préparation des surfaces en acier avant application de peintures et produits assimilés. Tests pour évaluer la propreté des surfaces. Partie 4. Lignes directrices sur l'évaluation de la probabilité de condensation avant l'application de la peinture "
Isolation de la maison - à l'extérieur ou à l'intérieur?
La formule de calcul du point de rosée dans la vie de tous les jours n'est d'aucune utilité pour personne. Mais dans certaines industries et sphères de l'activité humaine, il est impossible de s'en passer. Le point de rosée, dont la définition a été discutée ci-dessus, est un paramètre important pour une construction et un aménagement de haute qualité des locaux à toutes fins utiles.


Quel que soit le bâtiment, il doit être sec, ce qui signifie que le point de rosée dans le mur doit être soit complètement éliminé, soit réduit à la distance maximale de la surface intérieure. Par exemple, la construction et l'isolation des bâtiments nécessiteront nécessairement de tels calculs. Aujourd'hui, vous pouvez trouver de nombreux pointeurs de table avec des valeurs déjà calculées.
Mais beaucoup utilisent des formules pour confirmer les données spécifiées et pour déterminer le point de rosée aussi précisément que possible pour une étanchéité thermique et une imperméabilisation de haute qualité des locaux dans des conditions spécifiques. Dans ce cas, il est nécessaire de prendre en compte les paramètres des matériaux des murs, isolation, pare-vapeur. Les constructeurs expérimentés disent que le point de rosée n'est pas un indicateur stationnaire, il évolue constamment avec les changements de facteurs externes.
L'isolation interne reste relativement populaire malgré la physique.
Il semblerait, pourquoi ne pas isoler l'appartement à l'intérieur du bâtiment ? Surtout si vous habitez au 10e étage ? L'idée est tentante, mais absolument absurde.
Bien sûr, travailler à la maison de ses propres mains sans alpinisme ni escalier est beaucoup plus agréable et pratique, mais il existe un certain nombre d'obstacles importants:
- Une couche d'isolant coupera les murs du système de chauffage et, en hiver, ils gèleront. Cela conduira à leur usure rapide.
- La position du point de rosée sera au mieux à l'intérieur du mur, mais il sera très probablement situé directement sous la couche d'isolant.
- Le volume de l'espace de vie diminuera considérablement en raison de l'épaisseur de la couche d'isolation thermique.
- Les murs cesseront d'absorber l'humidité, l'humidité de la pièce augmentera, ce qui sera inconfortable. Dans certains cas, une forte augmentation de l'humidité conduit à l'asthme.
- Les murs trempés sont un excellent habitat pour les moisissures et les bactéries.
Si mes avertissements ne vous ont pas convaincu, lisez les dispositions dictées par les instructions SNiP et GOST.
La photo montre des options de protection contre l'humidité, mais elles ne résolvent pas tous les problèmes répertoriés.
L'isolation interne ne peut être justifiée que dans les cas où l'emplacement externe de l'isolation thermique est impossible pour une raison quelconque. La moindre erreur de calcul ou d'exécution des travaux peut avoir des conséquences désastreuses.
L'eau est un ennemi sérieux des structures de construction.
Calcul de la puissance de l'élément chauffant d'une maison de campagne
Lors de la première étape du calcul du circuit de chauffage, la puissance requise de la chaudière de chauffage est calculée. Cet indicateur affecte directement l'efficacité du fonctionnement du circuit de chauffage autonome. Si la puissance est trop faible, la température de l'air dans la maison en automne et en hiver ne sera pas non plus assez confortable. Trop de puissance pour la zone de la structure entraînera une consommation excessive de carburant et des déchets inutiles.
De manière générale, ce paramètre est déterminé en multipliant la surface de la pièce et le facteur de puissance climatique. La valeur résultante est divisée par 10, c'est-à-dire que le calcul du chauffage par le volume de la pièce est basé sur la puissance moyenne requise de 1 kW / 10 m². Le résultat reflète la puissance approximative de la chaudière requise pour chauffer la pièce donnée.
Lors de la substitution de valeurs dans cette formule, les nuances suivantes doivent être prises en compte. Tout l'espace de la maison n'est pas pris comme premier paramètre (la superficie de la structure): seules les pièces avec des murs extérieurs sont prises en compte.Le facteur de puissance climatique est sélectionné en tenant compte de la région où se trouve la maison : pour les régions nord, centre et sud, ce paramètre sera différent - au fur et à mesure que vous vous déplacez vers le nord, la puissance climatique augmente naturellement.
Le résultat obtenu est de nature moyenne, il est donc recommandé de prendre en compte une certaine réserve de puissance lors de la sélection des caractéristiques de la chaudière. Ceci est particulièrement important pour un climat avec des hivers rigoureux.
Outils de mesure
Le concept de point de rosée est largement utilisé dans les stations de comptage de gaz, dans les stations de compression de gaz automobile, dans les stations de stockage souterrain et de séchage du gaz naturel, pour vérifier les hygromètres et les générateurs de gaz humide. Le point de rosée est une caractéristique importante pour un fonctionnement de haute qualité à la fois pour les locaux résidentiels et industriels, ainsi que pour les gazoducs et les systèmes de stockage de gaz.
Un appareil de mesure du point de rosée vous permet d'abandonner les calculs complexes à l'aide de formules et de calculer ce paramètre tout en mesurant indépendamment les facteurs environnementaux - température, humidité et pression. Le tout premier appareil développé est un hygromètre psychrométrique, on l'appelle aussi psychromètre. Maintenant, c'est un appareil de laboratoire qui n'est pas utilisé dans la pratique.
Le développement des analyseurs informatiques électroniques n'a pas manqué un paramètre physique tel que le rapport d'humidité et de température de l'air ambiant, et donc le calcul du point de rosée. De tels dispositifs sont faciles à utiliser, bien que certains modèles, y compris ceux ayant les propriétés d'une caméra thermique, nécessitent le traitement des informations reçues à l'aide de programmes informatiques spéciaux.
Calcul des pertes de chaleur d'une maison de campagne
Un élément important de la précision de la détermination des paramètres du système de chauffage est le calcul des pertes de chaleur. Cet indicateur est influencé par les dimensions des éléments structurels en contact avec l'environnement extérieur : toitures, fondations, murs et fenêtres. L'épaisseur des parois est également un paramètre important : plus elles sont fines, plus les déperditions thermiques seront importantes.
Le matériau des murs de la maison joue également un rôle dans le calcul des pertes de chaleur. En particulier, le bois dissipe beaucoup moins de chaleur dans l'espace environnant que la brique. La présence d'un réchauffeur réduit la consommation excessive de carburant, car elle empêche les fuites d'énergie thermique.
En plus des surfaces des murs et des fenêtres, les systèmes de ventilation et d'assainissement du bâtiment participent aux pertes de chaleur. Il est préférable que ce fait soit pris en compte lors du calcul du chauffage de la maison.
Les calculs utilisent un paramètre d'un matériau de construction tel que le coefficient de conductivité thermique. L'épaisseur de paroi est divisée par ce facteur pour obtenir la valeur de la résistance au transfert de chaleur.
La comptabilisation des structures de fenêtres et de portes du point de vue du calcul des pertes de chaleur est conseillée pour les structures à grande échelle, ainsi que pour les maisons à haut rendement énergétique. Dans le cas des immeubles de faible hauteur, il n'est pas nécessaire de prendre en compte les fenêtres et les portes dans les calculs.
Recommander des produits

- Psychromètre