Chacun de nous a été témoin à plusieurs reprises de la formation de gouttelettes d'eau sur les objets et les structures environnants. Ceci s'explique par le fait que l'air ambiant se refroidit au-dessus d'un objet apporté par le gel. La saturation en vapeur d'eau se produit et la rosée se condense sur l'objet.
La buée des fenêtres de l'appartement a la même nature. La raison pour laquelle les fenêtres pleurent est due aux processus de condensation, qui sont influencés par l'humidité et la température ambiante.

La condensation est étroitement liée au concept de point de rosée. Pour une meilleure compréhension des phénomènes décrits, il est simplement nécessaire de considérer ce facteur plus en détail.
Point de rosée. Qu'est-ce que c'est?
Le point de rosée est la température de refroidissement de l'air ambiant à laquelle la vapeur d'eau qu'il contient commence à se condenser, formant de la rosée, c'est-à-dire la température de condensation.
Cet indicateur dépend de deux facteurs: la température de l'air et son humidité relative. Le point de rosée d'un gaz est d'autant plus élevé que son humidité relative est élevée, c'est-à-dire qu'il se rapproche de la température ambiante réelle. Inversement, plus l'humidité est basse, plus le point de rosée est bas.
Comment calculer le point de rosée?
Le calcul du point de rosée est important dans de nombreux aspects de la vie, y compris la construction. La qualité de vie dans les nouveaux bâtiments et locaux mis en service depuis longtemps dépend de l'exactitude de la définition de cet indicateur. Alors, comment déterminez-vous le point de rosée?
Pour déterminer cet indicateur, utilisez la formule de calcul approximatif de la température du point de rosée Tr (° C), qui est déterminée par la dépendance de l'humidité relative Rh (%) et de la température de l'air T (° C):


Avec quels appareils est-il calculé?
Alors, comment le point de rosée est-il calculé en pratique? La détermination de cet indicateur est effectuée à l'aide d'un psychromètre - un appareil composé de deux thermomètres à alcool qui mesure l'humidité et la température de l'air. Il est principalement utilisé dans les laboratoires de nos jours.


Pour inspecter les bâtiments, des thermo-hygromètres portables sont utilisés - des appareils électroniques, sur un affichage numérique sur lesquels sont affichées des données sur l'humidité relative et la température de l'air. Sur certains modèles, même le point de rosée est affiché.
De plus, certains imageurs thermiques ont pour fonction de calculer le point de rosée. En même temps, un thermogramme est affiché à l'écran, sur lequel les surfaces avec des températures inférieures au point de rosée sont visibles en temps réel.


Comment le point de rosée dans la construction est-il déterminé?
La mesure du point de rosée est une étape très importante dans la construction des bâtiments, qui doit être réalisée même au stade du développement du projet. La possibilité de condensation de l'air à l'intérieur de la pièce dépend de son exactitude et, par conséquent, du confort d'y vivre davantage, ainsi que de sa durabilité.
Tout mur a une certaine teneur en humidité. C'est pourquoi, en fonction du matériau du mur et de la qualité de l'isolation, de la condensation peut se former dessus. La température du point de rosée dépend de:
- humidité de l'air intérieur;
- sa température.
Ainsi, en utilisant le tableau ci-dessus, vous pouvez déterminer que dans une pièce avec une température de +25 degrés et une humidité relative de 65%, de la condensation se formera sur des surfaces avec une température de 17,5 degrés et moins. Il faut se rappeler une règle: plus l'humidité de la pièce est basse, plus la différence entre le point de rosée et la température de la pièce est grande.


Les principaux facteurs qui affectent l'emplacement du point de rosée sont:
- climat;
- température intérieure et extérieure;
- humidité à l'intérieur et à l'extérieur;
- mode de vie dans la pièce;
- la qualité du fonctionnement des systèmes de chauffage et de ventilation dans la pièce;
- épaisseur et matériau de la paroi;
- isolation des sols, plafonds, murs, etc.
Définition du point de rosée
Détermination du point de rosée est un facteur extrêmement important lors de l'installation de sols en polymère, de revêtements et de sols autonivelants sur toutes les bases: béton, métal, bois, etc. L'apparition d'un point de rosée et, par conséquent, la condensation d'eau à la surface de la base au moment de la pose de sols en polymère de sols et de revêtements autonivelants peuvent provoquer l'apparition de divers défauts: galuchat, gonflement et coquilles; décollement complet du revêtement de la base. La détermination visuelle du point de rosée - l'apparition d'humidité sur la surface - est presque impossible, par conséquent, la technologie ci-dessous est utilisée pour calculer le point de rosée.
Caractéristiques des murs non isolés
Dans de nombreuses pièces, l'isolation des murs est complètement absente. Dans de telles conditions, les options suivantes pour le comportement du point de rosée sont possibles, en fonction de son emplacement:
- Entre la surface extérieure et le centre du mur (l'intérieur du mur reste toujours sec).
- Entre la surface intérieure et le centre du mur (de la condensation peut apparaître sur la surface intérieure si l'air de la région est soudainement refroidi).
- Sur la surface intérieure du mur (le mur restera humide tout au long de l'hiver).
Point de rosée dans la construction et les méfaits de la condensation
Dans les bâtiments, l'emplacement du point de rosée dépendra, en plus de l'humidité et de la température, de l'épaisseur des murs, de l'épaisseur de la couche isolante, de la présence de ponts froids dans la couche isolante. Le point de rosée forme de la condensation au point où le point avec cette valeur de température est:
- À l'intérieur du mur;
- dehors;
- sur le mur à l'intérieur de la pièce.
Une surface humide est un excellent habitat pour la moisissure et le mildiou. Des processus de dégradation rapide se produisent sur une surface humide. Les structures affectées par le champignon ne dureront pas longtemps et la destruction interne n'est pas toujours perceptible. Les spores du champignon ont un impact négatif sur la santé des habitants de la maison. Si l'isolation est mouillée, l'isolation thermique de la maison est cassée. Souvent, les matériaux de finition rendent difficile le diagnostic en temps opportun, mais parfois la moisissure et l'humidité sont visibles à l'œil nu si le point de rosée est situé sur la surface intérieure du mur.
Comment bien isoler le mur?
Dans un mur isolé, le point de rosée peut être situé à différents endroits de l'isolant, ce qui dépend d'un certain nombre de facteurs:
- Les propriétés d'isolation thermique de l'isolant diminuent à mesure que le niveau de son humidité augmente, car l'eau est un excellent conducteur de chaleur.
- La présence de défauts d'isolation et d'espaces entre l'isolant et la surface du mur crée de bonnes conditions pour la formation de condensation.
- Les gouttes de rosée réduisent considérablement les propriétés d'isolation thermique de l'isolant et aident également au développement de colonies fongiques.
Ainsi, il faut comprendre le risque d'utiliser des matériaux qui laissent passer l'humidité à travers les murs pour l'isolation des murs, car ils sont sujets à une perte de qualités de protection thermique et à une destruction progressive.
De plus, assurez-vous de faire attention à la capacité des matériaux choisis pour l'isolation des murs à résister à l'inflammation. Il vaut mieux opter pour des matériaux dont la teneur en matière organique est inférieure à 5%. Ils sont considérés comme incombustibles et conviennent le mieux à l'isolation des pièces d'habitation.
Isolation des murs extérieurs
L'option idéale pour protéger une pièce de l'humidité et du froid est l'isolation des murs extérieurs (à condition qu'elle soit réalisée dans le respect de la technologie).


Dans le cas où l'épaisseur de l'isolant est choisie de manière optimale, le point de rosée se trouvera dans l'isolant lui-même.Le mur restera absolument sec pendant toute la période froide, même en cas de coup de froid brutal, le point de rosée n'atteindra pas la surface intérieure du mur.
Si l'épaisseur de l'isolant n'a pas été calculée correctement, des problèmes peuvent survenir. Le point de rosée se déplacera jusqu'à la limite entre le matériau isolant et l'extérieur du mur. De la condensation peut se former dans les cavités entre les deux matériaux et de l'humidité peut s'accumuler. En hiver, lorsque la température descend en dessous de zéro, l'humidité se dilate et se transforme en glace, contribuant à la destruction de l'isolation thermique et en partie du mur. De plus, l'humidité constante des surfaces entraînera la formation de moisissures.
En cas de non-respect complet de la technologie et d'erreurs grossières dans les calculs, il est possible de déplacer le point de rosée vers la surface intérieure du mur, ce qui entraînera la formation de condensation sur celui-ci.
Qu'est-ce que le point de rosée?


Diagramme de formation du point de rosée dans le mur.
Lorsque vous isolez la surface de l'intérieur de la pièce, vous l'isolez de la chaleur de la pièce. Ainsi, la position du point de rosée se décale vers l'intérieur, plus près de la pièce, la température de la paroi elle-même diminue. Et quelle conclusion peut-on en tirer? De la condensation se produit.
Par définition, le point de rosée est le niveau de température auquel la condensation commence à se former, c'est-à-dire que l'humidité de l'air se transforme en eau et se dépose à la surface. Ce point peut être à différents endroits (à l'extérieur, à l'intérieur, au milieu, plus près d'une partie de sa surface).
En fonction de cet indicateur, le mur reste sec toute l'année ou se mouille lorsque la température extérieure baisse.
L'emplacement du point de rosée dépend du niveau d'humidité à l'intérieur de la maison, de la température.
Par exemple, si la température dans la pièce est de + 20 ° C et que le taux d'humidité est de 60%, la condensation tombe déjà sur n'importe quelle surface lorsque la température chute à + 12 ° C. Si le taux d'humidité est plus élevé et est de 80%, alors la rosée est déjà visible à + 16,5 ° C. À 100% d'humidité, la surface est mouillée à une température de 20 ° C.
Considérez les situations qui surviennent lors de l'isolation en mousse de l'extérieur ou de l'intérieur:
- Position du point pour une surface non isolée. Il peut être situé dans l'épaisseur du mur plus près de la rue, approximativement entre la surface extérieure et le milieu. Le mur ne se mouille à aucune baisse de température, il reste sec. Il arrive souvent que le point soit plus proche de la surface intérieure, alors le mur est sec dans la plupart des cas, mais il se mouille avec de fortes baisses de température. Lorsque l'indicateur se trouve sur la surface intérieure, le mur reste humide tout au long de l'hiver.
- Lors de l'isolation avec de la mousse à l'extérieur de la maison, plusieurs situations peuvent survenir. Si le choix de l'isolation, ou plutôt de son épaisseur, a été effectué correctement, le point de rosée se situera dans l'isolation. C'est l'emplacement le plus correct, auquel cas le mur restera sec en toutes circonstances. Si la couche d'isolant thermique a été moins prise, trois options pour l'emplacement du point de rosée sont possibles:
- au milieu entre la partie centrale du mur et l'extérieur - le mur reste sec presque tout le temps;
- plus près de la surface intérieure - pendant une vague de froid, la rosée tombe;
- sur la surface intérieure - le mur est constamment humide en hiver.
Article connexe: Mise à la terre correcte dans une maison privée
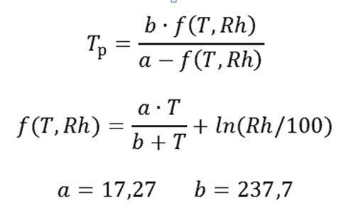
Pour déterminer le taux de perte de condensation, vous pouvez utiliser la formule suivante:
Tr = (b * y (T, RH)) / (a-y (N, RH))
Tr est le point de rosée
valeurs constantes: a = 17,27 et b = 237,7 degrés (Celsius).
y (T, RH) = (aT / (b + T)) + ln (RH)
T - température,
HR - niveau relatif à l'humidité (supérieur à zéro, mais inférieur à un),
Ln est le logarithme.
Lors de l'utilisation de la formule, il est nécessaire de prendre en compte le matériau dont sont faits les murs, leur épaisseur et bien plus encore.Il est préférable d'effectuer de tels calculs à l'aide de programmes informatiques spéciaux.
Isolation des murs intérieurs
Isoler le mur de l'intérieur n'est initialement pas la meilleure option. Si la couche isolante est mince, le point de rosée se situera à la limite du matériau isolant et de la surface de la paroi intérieure. L'air chaud dans une pièce avec une fine couche d'isolation thermique n'atteindra pratiquement pas la face intérieure du mur, entraînant les conséquences suivantes:
- forte probabilité de se mouiller et de geler le mur;
- l'humidification et, par conséquent, la destruction de l'isolant lui-même;
- excellentes conditions pour le développement de colonies de moisissures.


Cependant, cette méthode de réchauffement d'une pièce peut également être efficace. Pour ce faire, vous devez respecter certains prérequis:
- le système de ventilation doit être conforme aux réglementations et éviter une humidification excessive de l'air ambiant.
- la résistance thermique de la structure de la clôture, conformément aux exigences réglementaires, ne doit pas dépasser 30%.
Quand une isolation interne est-elle possible?


Tableau de détermination du point de rosée en fonction de la température et de l'humidité de l'air.
Il n'est pas toujours possible de réaliser une isolation de l'intérieur, car avec des actions mal exécutées, la rosée tombera constamment de l'intérieur, rendant tous les matériaux de construction complètement inutilisables, créant un microclimat inconfortable à l'intérieur. Considérez quand il n'est pas recommandé de faire l'isolation de l'intérieur, de quoi cela dépend.
Est-il possible ou non d'être isolé de l'intérieur? La solution à ce problème dépend en grande partie de ce qui arrivera à la structure une fois les travaux terminés. Si le mur reste sec toute l'année, des travaux d'isolation thermique par l'intérieur de la pièce peuvent être effectués, et dans de nombreux cas même nécessaires. Mais s'il est constamment mouillé chaque hiver, il est absolument impossible de réaliser une isolation thermique. L'isolation n'est autorisée que si la structure est sèche et qu'elle est très rarement mouillée, par exemple une fois tous les dix ans. Mais même dans ce cas, le travail doit être effectué avec beaucoup de soin, sinon un phénomène tel que le point de rosée sera constamment observé.
Considérez ce qui détermine l'apparence du point de rosée, comment savoir s'il est possible ou non d'isoler les murs de la maison de l'intérieur.
Comme déjà mentionné, le point de rosée se produit en raison de facteurs tels que:
- humidité;
- température intérieure.
Article connexe: Comment coller du papier peint dans les coins s'ils sont inégaux
L'humidité dans la pièce dépend de la disponibilité de la ventilation (hottes, soufflage, climatiseurs, etc.) et du mode de résidence, temporaire ou permanent. La température à l'intérieur est influencée par la qualité de l'isolation, le niveau d'isolation thermique de toutes les autres structures de la maison, y compris les fenêtres, les portes et les toits.
À partir de là, nous pouvons conclure que les conséquences pour l'isolation interne dépendent:
- température des retombées d'humidité du condensat, c'est-à-dire à partir du point de rosée;
- de la position de ce point à l'isolation thermique et après.
Comment déterminer où se trouve le point de rosée? Cette valeur dépend de nombreux paramètres, parmi lesquels il faut mettre en évidence:
- épaisseur, matériau de fabrication du mur;
- température intérieure moyenne;
- température extérieure moyenne (influencée par la zone climatique, conditions météorologiques moyennes tout au long de l'année);
- humidité intérieure;
- le niveau d'humidité à l'extérieur, qui dépend non seulement du climat, mais aussi des conditions de fonctionnement de la maison.
Nous rassemblerons tous les facteurs en un seul tout


Graphique de résistance thermique et déplacement du point de rosée lors de l'utilisation de l'isolation.
Nous pouvons maintenant collecter tous les facteurs qui affectent l'emplacement du point de rosée:
- mode de résidence et fonctionnement à domicile;
- la présence de ventilation et son type;
- la qualité du système de chauffage;
- la qualité du travail lors de l'isolation avec de la mousse ou un autre matériau de toutes les structures de la maison, y compris le toit, les portes et les fenêtres;
- l'épaisseur des couches individuelles du mur;
- température intérieure, extérieure;
- humidité à l'intérieur, à l'extérieur;
- zone climatique;
- mode de fonctionnement, c.-à-d. à l'extérieur: rue, jardin, autres locaux, garage attenant, serre.
L'isolation de l'intérieur est possible, sur la base de tous les facteurs ci-dessus, dans de tels cas:
- avec résidence permanente dans la maison;
- lors de l'installation de la ventilation conformément à toutes les normes pour une pièce particulière;
- pendant le fonctionnement normal du système de chauffage;
- avec isolation, qui est installée pour toutes les structures de la maison qui ont besoin d'une isolation thermique;
- si le mur est sec, il a l'épaisseur requise. Selon les normes, lors de l'isolation avec de la mousse, de la laine minérale et d'autres matériaux, l'épaisseur d'une telle couche ne doit pas dépasser 50 mm.
Article connexe: Installation de bloc de porte à faire soi-même, installation de boîte
Dans d'autres cas, il est impossible de réaliser une isolation de l'intérieur. Comme le montre la pratique, dans 90% des cas, les murs de la maison ne peuvent être isolés que de l'extérieur, car il est assez difficile de garantir toutes les conditions, et souvent pas entièrement réalisable.
Quel est le risque de ne pas tenir compte de la condensation dans la construction?
En hiver, lorsque la température est presque constamment inférieure à zéro degré, l'air chaud à l'intérieur de la pièce, en contact avec toute surface froide, est surfondu et tombe à sa surface sous forme de condensation. Cela se produit à condition que la température de la surface correspondante soit inférieure au point de rosée calculé pour la température et l'humidité données.
En cas de condensation, le mur est presque toujours humide à une température plus basse. Le résultat est la formation de moisissures et le développement d'une grande variété de micro-organismes nuisibles. Par la suite, ils se déplacent dans l'air ambiant, ce qui entraîne diverses maladies des résidents, qui sont souvent dans la pièce, y compris des troubles asthmatiques.


De plus, les maisons affectées par les moisissures et les colonies fongiques ont une durée de vie extrêmement courte. La destruction du bâtiment est inévitable et ce processus commencera précisément à partir des murs humides. C'est pourquoi il est extrêmement important d'effectuer correctement tous les calculs concernant le point de rosée, même au stade de la conception et de la construction du bâtiment. Cela vous permettra de faire le bon choix concernant:
- épaisseur et matériau de la paroi;
- l'épaisseur et le matériau de l'isolant;
- méthode d'isolation des murs (isolation interne ou externe);
- sélection de systèmes de ventilation et de chauffage pouvant fournir un microclimat optimal dans la pièce (meilleur rapport humidité relative et température).
Vous pouvez calculer vous-même le point de rosée dans le mur. Dans ce cas, il convient de prendre en compte les particularités de la région climatique de résidence, ainsi que d'autres nuances données précédemment. Mais encore, il est préférable de contacter des organisations de construction spécialisées qui sont engagées dans de tels calculs dans la pratique. Et la responsabilité de l'exactitude des calculs n'incombera pas au client, mais aux représentants de l'organisation.
Point de rosée dans la construction
Le marché en constante croissance et en développement des produits de construction présente une large gamme de matériaux pour l'isolation thermique. Il est nécessaire d'aborder correctement le choix de l'isolation thermique des locaux industriels et résidentiels et de faire attention à l'indicateur en question lors de la construction.


En raison de la mauvaise mesure du point de rosée, les murs s'embuent souvent, l'apparition de moisissures et parfois la destruction des structures
La frontière de la transition d'une température basse à l'extérieur des murs à une température plus élevée à l'intérieur des structures chauffées avec formation de condensation possible, les experts considèrent le point de rosée.Des gouttelettes d'eau apparaîtront sur toute surface de la pièce proche ou inférieure à la température du point de rosée. L'exemple le plus simple: au milieu de certaines pièces, par temps froid, de la condensation s'égoutte sur les vitres.
Les principaux facteurs affectant la détermination de la valeur sont:
- facteurs climatiques (valeur de température et humidité à l'extérieur);
- valeurs de température à l'intérieur;
- indicateur d'humidité à l'intérieur;
- la valeur de l'épaisseur des murs;
- perméabilité à la vapeur des isolants thermiques utilisés dans la construction;
- la présence de systèmes de chauffage et de ventilation;
- but des structures.


Une détermination correcte du point de rosée est essentielle dans la construction
Ce n'est que si l'indicateur est mesuré correctement qu'à l'avenir, vous pourrez exploiter confortablement le bâtiment et réduire les coûts de maintenance à l'avenir.