Calcul du débit à travers le compteur de chaleur
Le calcul du débit du liquide de refroidissement est effectué selon la formule suivante:
G = (3,6 Q) / (4,19 (t1 - t2)), kg / h
Où
- Q - puissance thermique du système, W
- t1 - température du liquide de refroidissement à l'entrée du système, ° C
- t2 - température du liquide de refroidissement à la sortie du système, ° C
- 3,6 - facteur de conversion de W en J
- 4.19 - capacité thermique spécifique de l'eau kJ / (kg K)
Calcul du compteur de chaleur pour le système de chauffage
Le calcul du débit de l'agent chauffant pour le système de chauffage est effectué selon la formule ci-dessus, tandis que la charge thermique calculée du système de chauffage et le graphique de température calculé y sont substitués.
En règle générale, la charge thermique calculée du système de chauffage est indiquée dans le contrat (Gcal / h) avec l'organisme de distribution de chaleur et correspond à la puissance calorifique du système de chauffage à la température de l'air extérieur calculée (pour Kiev -22 ° C).
Le programme de température calculé est indiqué dans le même contrat avec l'organisme de distribution de chaleur et correspond aux températures du liquide de refroidissement dans les canalisations d'alimentation et de retour à la même température de l'air extérieur calculée. Les courbes de température les plus couramment utilisées sont 150-70, 130-70, 110-70, 95-70 et 90-70, bien que d'autres paramètres soient possibles.
Calcul d'un compteur de chaleur pour un système d'alimentation en eau chaude
Circuit fermé pour l'eau de chauffage (via un échangeur de chaleur), un compteur de chaleur est installé dans le circuit d'eau de chauffage
Q - La charge thermique sur le système d'alimentation en eau chaude est prélevée sur le contrat de fourniture de chaleur.
t1 - Elle est prise égale à la température minimale du caloporteur dans la canalisation d'alimentation et est également spécifiée dans le contrat de fourniture de chaleur. Typiquement, il est de 70 ou 65 ° C.
t2 - La température du fluide caloporteur dans le tuyau de retour est supposée être de 30 ° C.
Circuit fermé pour l'eau de chauffage (via un échangeur de chaleur), un compteur de chaleur est installé dans le circuit d'eau chauffée
Q - La charge thermique du système d'alimentation en eau chaude est prélevée sur le contrat de fourniture de chaleur.
t1 - Elle est prise égale à la température de l'eau chauffée sortant de l'échangeur de chaleur, en règle générale elle est de 55 ° C.
t2 - Elle est prise égale à la température de l'eau à l'entrée de l'échangeur de chaleur en hiver, généralement 5 ° C.
Calcul d'un compteur de chaleur pour plusieurs systèmes
Lors de l'installation d'un compteur de chaleur pour plusieurs systèmes, le débit qui le traverse est calculé séparément pour chaque système, puis additionné.
Le débitmètre est choisi de manière à pouvoir prendre en compte à la fois le débit total lors du fonctionnement simultané de tous les systèmes et le débit minimum lors du fonctionnement de l'un des systèmes.
Calcul direct du liquide de refroidissement, puissance de la pompe
Prenons la valeur des pertes de chaleur par unité de surface égale à 100 watts. Ensuite, en prenant la superficie totale de la maison égale à 150 mètres carrés, vous pouvez calculer la perte de chaleur totale de toute la maison - 150 * 100 = 15000 watts ou 15 kW.

Le fonctionnement de la pompe de circulation dépend de son installation correcte.
Vous devez maintenant comprendre ce que ce chiffre a à voir avec la pompe. Cela s'avère être le plus direct. De la signification physique, il s'ensuit que la perte de chaleur est un processus constant de consommation de chaleur. Afin de maintenir le microclimat nécessaire à l'intérieur de la pièce, il est nécessaire de compenser constamment un tel flux, et pour augmenter la température dans la pièce, il est nécessaire non seulement de compenser, mais de générer plus d'énergie que nécessaire pour compenser les pertes.
Cependant, même si de l'énergie thermique est disponible, elle doit encore être fournie à l'appareil capable de dissiper cette énergie. Un tel dispositif est un radiateur de chauffage. Mais la livraison du liquide de refroidissement (propriétaire de l'énergie) aux radiateurs est effectuée par la pompe de circulation.
De ce qui précède, on peut comprendre que l'essence de cette tâche se résume à une question simple: combien d'eau est nécessaire, chauffée à une certaine température (c'est-à-dire avec un certain apport d'énergie thermique), doit être fournie aux radiateurs pendant un certain temps afin de compenser toutes les pertes de chaleur à la maison? En conséquence, la réponse sera obtenue en volume d'eau pompée par unité de temps, et c'est la puissance de la pompe de circulation.
Pour répondre à cette question, vous devez connaître les données suivantes:
- puis la quantité de chaleur requise, qui est nécessaire pour compenser les pertes de chaleur, c'est-à-dire le résultat du calcul donné ci-dessus. Par exemple, une valeur de 100 watts a été prise avec une superficie de 150 mètres carrés. m, c'est-à-dire que dans notre cas, cette valeur est de 15 kW;
- la chaleur spécifique de l'eau (c'est une donnée de référence), dont la valeur est de 4200 Joules d'énergie par kg d'eau pour chaque degré de sa température ;
- la différence de température entre l'eau qui sort de la chaudière, c'est-à-dire la température initiale du fluide caloporteur, et l'eau qui entre dans la chaudière par le tuyau de retour, c'est-à-dire la température finale du fluide caloporteur.
Il est à noter qu'avec une chaudière en fonctionnement normal et l'ensemble du système de chauffage, avec une circulation d'eau normale, la différence ne dépasse pas 20 degrés. Vous pouvez prendre 15 degrés en moyenne.
Si nous prenons en compte toutes les données ci-dessus, la formule de calcul de la pompe prendra la forme Q = G / (c * (T1-T2)), où :
- Q est le débit du caloporteur (eau) dans le système de chauffage. C'est cette quantité d'eau à un certain régime de température que la pompe de circulation doit fournir aux radiateurs par unité de temps afin de compenser les pertes de chaleur de cette maison. Si vous achetez une pompe qui aura une puissance beaucoup plus élevée, cela augmentera simplement la consommation d'énergie électrique;
- G - pertes de chaleur calculées dans le paragraphe précédent;
- T2 est la température de l'eau qui s'écoule de la chaudière à gaz, c'est-à-dire la température à laquelle il est nécessaire de chauffer une certaine quantité d'eau. En règle générale, cette température est de 80 degrés;
- T1 est la température de l'eau qui s'écoule dans la chaudière à partir du tuyau de retour, c'est-à-dire la température de l'eau après le processus de transfert de chaleur. En règle générale, il est égal à 60-65 degrés.
- c - capacité thermique spécifique de l'eau, comme déjà mentionné, elle est égale à 4200 Joules par kg de liquide de refroidissement.
Si nous substituons toutes les données obtenues dans la formule et convertissons tous les paramètres dans les mêmes unités de mesure, nous obtenons un résultat de 2,4 kg / s.
Compteurs de chaleur


Afin de calculer l'énergie thermique, vous devez connaître les informations suivantes:
- Température du liquide à l'entrée et à la sortie d'une certaine section de la ligne.
- Le débit du liquide qui se déplace à travers les appareils de chauffage.
Le débit peut être déterminé à l'aide de compteurs de chaleur. Les compteurs de chaleur peuvent être de deux types:
- Compteurs à palettes. De tels appareils sont utilisés pour mesurer l'énergie thermique, ainsi que la consommation d'eau chaude. La différence entre ces compteurs et les compteurs d'eau froide est le matériau à partir duquel la roue est fabriquée. Dans de tels appareils, il est le plus résistant aux températures élevées. Le principe de fonctionnement est similaire pour les deux appareils:
- La rotation de la roue est transmise au dispositif comptable;
- La roue commence à tourner en raison du mouvement du fluide de travail;
- La transmission s'effectue sans interaction directe, mais à l'aide d'un aimant permanent.
De tels dispositifs ont une conception simple, mais leur seuil de réponse est faible. Et ils ont également une protection fiable contre la distorsion des lectures. Le blindage antimagnétique empêche la roue d'être freinée par le champ magnétique externe.
- Appareils avec un enregistreur différentiel. De tels compteurs fonctionnent selon la loi de Bernoulli, qui stipule que la vitesse de mouvement d'un flux de liquide ou de gaz est inversement proportionnelle à son mouvement statique.Si la pression est enregistrée par deux capteurs, il est facile de déterminer le débit en temps réel. Le compteur implique l'électronique dans le dispositif de construction. Presque tous les modèles fournissent des informations sur le débit et la température du fluide de travail et déterminent la consommation d'énergie thermique. Vous pouvez configurer le travail manuellement à l'aide d'un PC. Vous pouvez connecter l'appareil à un PC via le port.
De nombreux habitants se demandent comment calculer la quantité de Gcal pour le chauffage dans un système de chauffage ouvert, dans lequel l'eau chaude peut être prélevée. Des capteurs de pression sont installés sur le tuyau de retour et le tuyau d'alimentation en même temps. La différence, qui sera dans le débit du fluide de travail, montrera la quantité d'eau chaude qui a été dépensée pour les besoins domestiques.
Calcul précis des pertes de chaleur à la maison
Pour un indicateur quantitatif de la perte de chaleur d'une maison, il existe une valeur spéciale appelée flux de chaleur, et elle est mesurée en kcal / heure. Cette valeur montre physiquement la consommation de chaleur dégagée par les murs vers l'environnement à un régime thermique donné à l'intérieur du bâtiment.
Cette valeur dépend directement de l'architecture du bâtiment, des propriétés physiques des matériaux des murs, du sol et du plafond, ainsi que de nombreux autres facteurs pouvant provoquer le vieillissement de l'air chaud, par exemple une mauvaise conception de la chaleur. -couche isolante.
Ainsi, la quantité de perte de chaleur d'un bâtiment est la somme de toutes les pertes de chaleur de ses éléments individuels. Cette valeur est calculée par la formule: G = S * 1 / Po * (Tv-Tn) k, où:
- G est la valeur requise, exprimée en kcal / h;
- Po - résistance au processus d'échange d'énergie thermique (transfert de chaleur), exprimée en kcal / h, c'est m2 * h * température;
- Tv, Tn - température de l'air intérieur et extérieur, respectivement;
- k est un coefficient décroissant, différent pour chaque barrière thermique.
Il est à noter que, comme le calcul n'est pas effectué tous les jours et que la formule contient des indicateurs de température qui changent constamment, il est habituel de prendre ces indicateurs sous une forme moyenne.
Cela signifie que les indicateurs de température sont pris en moyenne et que pour chaque région distincte, un tel indicateur sera différent.
Donc, maintenant, la formule ne contient pas de membres inconnus, ce qui permet d'effectuer un calcul assez précis des pertes de chaleur d'une maison particulière. Il reste à connaître uniquement le facteur de réduction et la valeur de la valeur de Po - résistance.
Ces deux valeurs, en fonction de chaque cas spécifique, peuvent être trouvées à partir des données de référence correspondantes.
Quelques valeurs du facteur de réduction:
- plancher au sol ou rondins de bois - valeur 1;
- planchers de grenier, en présence d'un toit avec un matériau de toiture en acier, des tuiles sur un lattage clairsemé, ainsi que des toits en amiante-ciment, un toit de grenier avec ventilation aménagée - valeur 0,9;
- les mêmes chevauchements que dans le paragraphe précédent, mais disposés sur un plancher continu, - une valeur de 0,8;
- planchers de grenier, avec toit, dont le matériau de toiture est un matériau en rouleau - valeur 0,75;
- les murs qui séparent une pièce chauffée d'une pièce non chauffée, qui, à son tour, a des murs extérieurs, - une valeur de 0,7;
- tous les murs qui séparent une pièce chauffée d'une pièce non chauffée, qui, à son tour, n'a pas de murs extérieurs - valeur 0,4;
- étages disposés au-dessus des caves situées sous le niveau du sol extérieur - valeur 0,4;
- étages disposés au-dessus des caves situées au-dessus du niveau du sol extérieur - valeur 0,75;
- les sols situés au-dessus des sous-sols, qui sont situés sous le niveau du sol extérieur ou plus haut d'un maximum de 1 m - une valeur de 0,6.
Article connexe: Application de papier peint en papier pour la peinture
Sur la base des cas ci-dessus, vous pouvez approximativement imaginer l'échelle, et pour chaque cas spécifique qui n'est pas inclus dans cette liste, vous pouvez choisir indépendamment un facteur de réduction.
Quelques valeurs de résistance au transfert de chaleur:


La valeur de résistance pour la maçonnerie pleine est de 0,38.
- pour la maçonnerie pleine ordinaire (l'épaisseur du mur est d'environ 135 mm), la valeur est de 0,38;
- le même, mais avec une épaisseur de maçonnerie de 265 mm - 0,57, 395 mm - 0,76, 525 mm - 0,94, 655 mm - 1,13;
- pour la maçonnerie pleine avec un entrefer, d'une épaisseur de 435 mm - 0,9, 565 mm - 1,09, 655 mm - 1,28;
- pour la maçonnerie continue en briques décoratives pour une épaisseur de 395 mm - 0,89, 525 mm - 1,2, 655 mm - 1,4;
- pour la maçonnerie pleine avec une couche d'isolation thermique pour une épaisseur de 395 mm - 1,03, 525 mm - 1,49;
- pour les murs en bois constitués d'éléments en bois séparés (non en bois) pour une épaisseur de 20 cm - 1,33, 22 cm - 1,45, 24 cm - 1,56;
- pour les murs en bois d'une épaisseur de 15 cm - 1,18, 18 cm - 1,28, 20 cm - 1,32;
- pour un plancher de grenier en dalles de béton armé avec présence d'isolant d'une épaisseur de 10 cm - 0,69, 15 cm - 0,89.
Avec de telles données tabulaires, vous pouvez commencer à effectuer un calcul précis.
Graphique de la durée de la charge thermique
Pour établir un mode de fonctionnement économique des équipements de chauffage, pour sélectionner les paramètres les plus optimaux du liquide de refroidissement, il est nécessaire de connaître la durée de fonctionnement du système d'alimentation en chaleur sous différents modes tout au long de l'année. A cet effet, des graphiques de la durée de la charge thermique sont construits (graphiques Rossander).
La méthode de traçage de la durée de la charge thermique saisonnière est illustrée à la Fig. 4. La construction est réalisée en quatre quadrants. Dans le quadrant supérieur gauche, des graphiques sont tracés en fonction de la température extérieure. tH,
charge thermique de chauffage
Q,
ventilation
QB
et la charge saisonnière totale
(Q +
n pendant la période de chauffage des températures extérieures tn égales ou inférieures à cette température.
Dans le quadrant inférieur droit, une ligne droite est dessinée à un angle de 45 ° par rapport aux axes vertical et horizontal, utilisée pour transférer les valeurs d'échelle P
du quadrant inférieur gauche au quadrant supérieur droit. La durée de charge thermique 5 est tracée pour différentes températures extérieures
tn
par les points d'intersection des lignes pointillées qui déterminent la charge thermique et la durée des charges stationnaires égales ou supérieures à celle-ci.
Aire sous la courbe 5
la durée de la charge thermique est égale à la consommation de chaleur pour le chauffage et la ventilation pendant la saison de chauffage Qcr.


Figure. 4. Représentation de la durée de la charge thermique saisonnière
Dans le cas où la charge de chauffage ou de ventilation varie en fonction des heures de la journée ou des jours de la semaine, par exemple lorsque les entreprises industrielles passent au chauffage de secours en dehors des heures de travail ou que la ventilation des entreprises industrielles ne fonctionne pas 24 heures sur 24, trois les courbes de consommation de chaleur sont tracées sur le graphique: une (généralement une ligne continue) basée sur la consommation de chaleur hebdomadaire moyenne à une température extérieure donnée pour le chauffage et la ventilation; deux (généralement en tirets) en fonction des charges de chauffage et de ventilation maximales et minimales à la même température extérieure tH.
Une telle construction est représentée sur la Fig. cinq.


Figure. 5. Graphique intégral de la charge totale de la zone
mais
—
Q
= f (tн);
b
- graphique de la durée de la charge thermique; 1 - charge totale hebdomadaire moyenne ;
2
- charge totale horaire maximale;
3
- charge totale horaire minimum
La consommation de chaleur annuelle pour le chauffage peut être calculée avec une petite erreur sans prendre en compte avec précision la répétabilité des températures de l'air extérieur pour la saison de chauffage, en prenant la consommation de chaleur moyenne pour le chauffage pour la saison égale à 50% de la consommation de chaleur pour le chauffage à la température extérieure de conception tmais.
Si la consommation de chaleur annuelle pour le chauffage est connue, alors, connaissant la durée de la saison de chauffage, il est facile de déterminer la consommation de chaleur moyenne. La consommation maximale de chaleur pour le chauffage peut être prise pour des calculs approximatifs égale à deux fois la consommation moyenne.
16
Le monde de l'ingénieur
La technique est destinée à la sélection correcte des compteurs de chaleur et d'eau pour les consommateurs de systèmes d'alimentation en chaleur fermés à Moscou. Les débits maximum et minimum du caloporteur et de l'eau déterminés selon la méthode ci-dessus doivent se situer dans la plage de mesure du débit d'eau du compteur de chaleur ou d'eau sélectionné avec une erreur relative régie par les règles de comptabilisation de l'énergie thermique et caloporteur.
La technique a été développée sur la base des documents réglementaires en vigueur:
- SNiP 2.04.07-86 * "Réseaux de chauffage", M. 1994
- SNiP 2.04.01-85 "Alimentation en eau interne et assainissement des bâtiments", M. 1986.
- SP41-101-95 "Conception des points de chaleur", M. 1997.
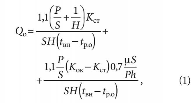
- La consommation horaire maximale d'eau du réseau de chauffage d'un système de chauffage fermé avec un schéma de raccordement en deux étapes pour les chauffe-eau conformément aux paragraphes. 5.2 et 5.3 SNiP 2.04.07-86 * (formules 9, 10, 16, 18 dans le système d'unités adopté pour les calculs de chaleur - Gcal / h), sous forme générale se trouve à partir de l'expression suivante (en t / h) :
GC.Max = GO.Max + G.B.Max + GHWS MAX = Q.Max / [(t1 - t2) * s] + Q.Max / [(t1 - t2) * s] + 0,55 QHWS.Max / [(t1 | - t2 |) * c] (1)
QО.МАХ, QV.МАХ, QGVS.МАХ - consommation de chaleur horaire maximale pour le chauffage, la ventilation et l'approvisionnement en eau chaude, en Gcal / h;
t1 et t1 | - la température de l'eau dans le tuyau d'alimentation du réseau de chauffage à la température de conception de l'air extérieur et au point de rupture du graphique de température, respectivement, pour les conditions de Moscou t1 = 1500 С, t1 | = 700 С pour HPP-1, CHPP-8, 9, 11, 12 et t1 | = 800 С - pour le reste de CHP et RTS;
t2 et t2 | - la température de l'eau dans le tuyau de retour du réseau de chauffage à la température de conception de l'air extérieur et au point de rupture du programme de température, respectivement, le jour des conditions de Moscou, en fonction du schéma de raccordement du chauffage:
- avec connexion dépendante t2 = 700 С; t2 | = 420C;
- avec connexion indépendante t2 = 800 С; t2 | = 450C;
С - capacité thermique de l'eau, il est permis de prendre 10-3 Gcal / (t.grad).
En remplaçant les valeurs indiquées par les valeurs alphabétiques, on obtient la consommation maximale d'eau, en t / h, à t1 | = 800С:
- pour une installation avec raccordement de chauffage dépendant:
G.Max = 12,5 QO.Max + 12,5 QV.Max + 14,5 Q.M.M.H. (2)
- pour un système avec un raccordement de chauffage indépendant et une alimentation en chaleur vers la ventilation par des conduites séparées:
G.Max = 14,3 QO.Max + 12,5 QV.Max + 15,7 QGV.Max (3)
- la même chose avec l'apport de chaleur pour la ventilation par les mêmes canalisations que pour le chauffage:
G.S.Max = 14,3 (QO.MAX + QV.Max) + 15,7 QGVS.MAX (4)
(15.7 - remplacé par 18.2 - pour tous les cas, un post-scriptum pour la formule (4))
Remarques:
a) pour les points de chaleur situés dans la zone de fonctionnement de HPP-1, CHPP - 8, 9, 11, 12 (t1 | = 700С), le dernier terme de la formule 2 doit être écrit comme (19,6 * QGVS.MAX), et dans les formules 3 et 4, comme (22 * QGVS.MAX);
b) la consommation horaire maximale d'eau du réseau de chauffage d'un système de chauffage fermé pendant la période sans chauffage doit être prise conformément aux clauses. 5.2 et 5.4, du même SNiP 2.04.07-89* (formules 14 et 19) :
G.MAH.YEAR = $ * QGV.S.Max / [(t1L - t | 3)] = 20-25 * QGV.S.Max (5)
$ Le coefficient tenant compte de l'évolution de la consommation d'eau pendant la période sans chauffage par rapport à la période de chauffage, pris conformément à l'annexe 1 du même SNiP pour le secteur d'habitation et communal, est-il égal à - 0,8; pour les entreprises - 1.0.
t1L est la température de l'eau dans la canalisation d'alimentation du réseau de chauffage pendant la période sans chauffage, pour Moscou à partir des conditions de connexion au réseau de chauffage - 70 ° C.
t | 3 - température de l'eau dans la conduite de retour, prise égale à après un chauffe-eau connecté en parallèle selon l'annexe 1 t | 3 = 300С.
- La consommation horaire minimale d'eau du réseau de chauffage d'un système d'alimentation en chaleur fermé est déterminée pendant la période sans chauffage en fonction de la charge sur l'alimentation en eau chaude:
- en l'absence de circulation dans le système d'alimentation en eau chaude, ou lorsqu'il est éteint dans les bâtiments à fonctionnement intermittent, en tenant compte de la consommation moyenne d'eau pour l'alimentation en eau chaude pendant la période sans chauffage selon les formules 13 et 19 SNiP 2.04. 07-86 * :
G.MIN = $ * QGV.S. / [(t1L - t | 3) * s] = 20-25 * QGVS.SR. (6)
- en présence de circulation dans le système d'alimentation en eau chaude - en tenant compte de la fourniture de chauffage d'eau en mode circulation la nuit:
G.MIN = QCIRC, ECS / [(t1L - t26) * s] (7)
t26 est la température de l'eau dans le tuyau de retour du réseau de chaleur après le chauffe-eau d'alimentation en eau chaude fonctionnant en mode de chauffage le débit de circulation, prise 50 C plus haut que la température minimale admissible de l'eau chaude aux points de tirage - éteint (il se trouve également dans le tuyau de circulation à l'entrée de l'eau chauffée devant le chauffe-eau) conformément au SNiP 2.04.01-85, clause 2.2 t26 = 50 + 5 = 550 C;
QTSIRK, ECS - consommation de chaleur pour le chauffage de l'eau de circulation, égale à la perte de chaleur par les conduites d'eau chaude, qui, en l'absence de données, sont déterminées conformément à SP 41-101-95, clause 4, annexe 2:
QCIRC.HWS = KTP. * QOHWS.S. / (1 + KTP.) (8)
KTP. - coefficient tenant compte des déperditions thermiques par canalisations du système d'alimentation en eau chaude, pris en fonction du type de système selon le tableau suivant:
| Coefficient prenant en compte les pertes thermiques par canalisations, KTP. | ||
| Types de systèmes d'alimentation en eau chaude | En présence de réseaux de chaleur d'alimentation en eau chaude après la station de chauffage central | Sans réseaux de chauffage d'alimentation en eau chaude |
| Avec contremarches isolées, sans sèche-serviettes | 0,15 | 0,1 |
| Également avec sèche-serviettes | 0,25 | 0,2 |
| Avec contremarches non isolées et sèche-serviettes | 0,35 | 0,3 |
Remarques:
- La première ligne, en règle générale, fait référence au système de bâtiments publics et industriels, la seconde - aux bâtiments résidentiels construits selon des projets après 1976, la troisième - aux bâtiments résidentiels construits selon des projets avant 1977.
- Étant donné que les pertes de chaleur par les conduites d'alimentation en eau chaude sont pratiquement les mêmes tout au long de l'année et sont fixées en fractions de la consommation horaire moyenne de chaleur, elles ne devraient pas diminuer en été du coefficient de réduction de la consommation d'eau.
- En présence de canalisations indépendantes par lesquelles l'eau pour le système d'alimentation en eau chaude pénètre dans le point de chauffage, la consommation horaire maximale d'eau à travers la canalisation d'alimentation est déterminée comme dans les systèmes d'alimentation en chaleur ouverts selon la formule 12, clause 5.2, SNi112.04.07-86 *.
GHW.Max = QHW.Max / [(tH - tX) * s] = 18,2 QHW.Max (9)
tГ - température de l'eau dans la canalisation d'alimentation du système d'alimentation en eau chaude, prise égale à 600 С;
tХ - température de l'eau dans le système d'alimentation en eau, tХ = 50 С.
La consommation minimale d'eau dans la canalisation d'alimentation est considérée comme égale à la consommation d'eau en circulation, qui est déterminée selon SNiP 2.04.01-85, clause 8.2:
GGVS.MIN. = GCIRC. = & Ts. * QCIRC. / (? t * c) (10)
Et C. - coefficient de désalignement de la circulation;
? t est la différence de température de l'eau dans la conduite d'alimentation du système ECS à la sortie du chauffe-eau vers les robinets d'eau les plus éloignés, en tenant compte des pertes de chaleur par les conduites de circulation.
Pour les systèmes qui assurent la circulation de l'eau à travers les colonnes montantes et avec la même résistance que les unités sectionnelles ou les colonnes montantes, & Ts. = 1,3; ? t = 100С.
La consommation d'eau maximale dans la conduite de circulation du système d'ECS, en tenant compte de l'augmentation possible de la circulation due à la marge dans le choix des pompes de circulation, doit être prise 1,5 fois plus que la pompe de circulation calculée:
GCIRC.MAX = 1,5 * GCIRC. (Onze)
La consommation d'eau minimale dans la conduite de circulation du système ECS doit être prise en fonction de sa réduction possible à un prélèvement maximal pouvant atteindre 40% de celui calculé.
GCIRC.MIN = 0,4 * GCIRC. (12)
- Dans le cas où en été, un compteur de chaleur ou d'eau situé à l'entrée des canalisations d'un réseau de chaleur vers un point de chauffage ne rentre pas dans ses paramètres dans les limites calculées de consommation d'eau, pour pouvoir mesurer la consommation de chaleur pour l'eau chaude d'alimentation, il est nécessaire soit de reconditionner le compteur de chaleur ou d'eau installé (si la conception de l'appareil le permet), soit en été, de remplacer le compteur de chaleur ou d'eau par le même appareil d'un diamètre plus petit, la plage de mesure du dont le débit d'eau correspond aux débits déterminés selon les formules 5 et 6 de cette méthode.
Il est permis pour une charge contractuelle sur l'alimentation en eau chaude de moins de 0,5 Gcal / h pour déterminer la quantité de chaleur consommée en été par un compteur d'eau installé sur la canalisation d'eau froide entrant dans le chauffe-eau, en tenant compte des pertes de chaleur dans le pipelines selon le tableau ci-dessus.
Dans ce cas, la consommation d'eau maximale est déterminée sur la base de la consommation de chaleur horaire maximale pour l'alimentation en eau chaude:
GXV.Max = QHWS.Max / [(tH - tX) * s] = 18,2 QHWS.Max (13)
La consommation d'eau minimale doit être déterminée sur la base de la consommation d'eau horaire moyenne pour l'alimentation en eau chaude en été :
GXV.MIN = $ * QGVS.SR / [(tG - tX) * s] = 14,6-18,2 QHWS.SR (14)
Où la valeur de 14,6 est prise à $ = 0,8 et 18,2 - à $ = 1.
Lien de partage:
Option 3
Nous nous retrouvons avec la dernière option, au cours de laquelle nous examinerons la situation où il n'y a pas de compteur d'énergie thermique sur la maison. Le calcul, comme dans les cas précédents, sera réalisé en deux catégories (consommation d'énergie thermique pour un appartement et ODN).
Dérivation de la quantité de chauffage, nous effectuerons à l'aide des formules n ° 1 et n ° 2 (règles sur la procédure de calcul de l'énergie thermique, en tenant compte des lectures des compteurs individuels ou conformément aux normes établies pour les locaux d'habitation en gcal).
Calcul 1
- 1,3 gcal - lectures individuelles des compteurs;
- 1 400 roubles - le tarif approuvé.
- 0,025 gcal - indicateur standard de la consommation de chaleur par 1 m? espace vital;
- 70 m? - la superficie totale de l'appartement;
- 1 400 RUB - le tarif approuvé.


Comme dans la deuxième option, le paiement dépendra du fait que votre maison soit équipée ou non d'un compteur de chaleur individuel. Maintenant, il est nécessaire de connaître la quantité d'énergie thermique qui a été consommée pour les besoins généraux de la maison, et cela doit être fait selon la formule n ° 15 (le volume de services pour l'ONE) et n ° 10 (le montant pour le chauffage ).
Calcul 2
Formule n ° 15: 0,025 x 150 x 70/7000 = 0,0375 gcal, où:
- 0,025 gcal - indicateur standard de la consommation de chaleur par 1 m? espace vital;
- 100 m? - la somme de la superficie des locaux destinés aux besoins généraux de la maison;
- 70 m? - la superficie totale de l'appartement;
- 7 000 m? - superficie totale (tous les locaux résidentiels et non résidentiels).
- 0,0375 - volume de chaleur (ODN);
- 1400 RUB - le tarif approuvé.


À la suite des calculs, nous avons découvert que le paiement intégral pour le chauffage sera:
- 1820 + 52,5 = 1872,5 roubles. - avec un compteur individuel.
- 2450 + 52,5 = 2502,5 roubles. - sans compteur individuel.
Dans les calculs ci-dessus des paiements pour le chauffage, nous avons utilisé des données sur les images d'un appartement, une maison, ainsi que sur les relevés de compteurs, qui peuvent différer considérablement de ceux que vous avez. Tout ce que vous avez à faire est de brancher vos valeurs dans la formule et d'effectuer le calcul final.
Calcul des pertes de chaleur
Un tel calcul peut être effectué indépendamment, car la formule est dérivée depuis longtemps. Cependant, le calcul de la consommation de chaleur est assez compliqué et nécessite la prise en compte de plusieurs paramètres à la fois.
En termes simples, il se résume uniquement à déterminer la perte d'énergie thermique, exprimée en puissance du flux de chaleur, qui est rayonnée dans l'environnement extérieur par chaque mètre carré de la surface des murs, planchers, planchers et toitures de le bâtiment.
Article associé: Embouts de tournevis: comment choisir leurs types?
Si nous prenons la valeur moyenne de ces pertes, elles seront:
- environ 100 watts par unité de surface - pour des murs moyens, par exemple des murs en briques d'épaisseur normale, avec une décoration intérieure normale, avec des fenêtres à double vitrage installées;
- plus de 100 watts ou nettement plus de 100 watts par unité de surface, si l'on parle de murs d'épaisseur insuffisante, non isolés;
- environ 80 watts par unité de surface, si nous parlons de murs d'une épaisseur suffisante, avec une isolation thermique externe et interne, avec des fenêtres à double vitrage installées.
Pour déterminer cet indicateur avec plus de précision, une formule spéciale a été dérivée, dans laquelle certaines variables sont des données tabulaires.
Comment calculer l'énergie thermique consommée
Si un compteur de chaleur est manquant pour une raison ou une autre, la formule suivante doit être utilisée pour calculer l'énergie thermique:
Voyons ce que signifient ces conventions.
1. V désigne la quantité d'eau chaude consommée, qui peut être calculée en mètres cubes ou en tonnes.
2.T1 est l'indicateur de température de l'eau la plus chaude (traditionnellement mesurée en degrés Celsius habituels). Dans ce cas, il est préférable d'utiliser exactement la température observée à une certaine pression de fonctionnement. À propos, l'indicateur a même un nom spécial - c'est l'enthalpie. Mais si le capteur requis est absent, vous pouvez prendre comme base le régime de température extrêmement proche de cette enthalpie. Dans la plupart des cas, la moyenne est d'environ 60 à 65 degrés.
3. T2 dans la formule ci-dessus désigne également la température, mais déjà de l'eau froide. En raison du fait qu'il est assez difficile de pénétrer dans la conduite avec de l'eau froide, des valeurs constantes sont utilisées pour cette valeur, qui peut varier en fonction des conditions climatiques de la rue. Ainsi, en hiver, lorsque la saison de chauffage bat son plein, ce chiffre est de 5 degrés, et en été, lorsque le chauffage est éteint, de 15 degrés.
4. Quant à 1000, c'est le coefficient standard utilisé dans la formule afin d'obtenir le résultat déjà en giga calories. Ce sera plus précis que d'utiliser des calories.
5. Enfin, Q est l'énergie thermique totale.
Comme vous pouvez le voir, il n'y a rien de compliqué ici, alors nous passons à autre chose. Si le circuit de chauffage est de type fermé (et cela est plus pratique d'un point de vue opérationnel), les calculs doivent être effectués d'une manière légèrement différente. La formule à utiliser pour un bâtiment avec un système de chauffage fermé devrait déjà ressembler à ceci:
Maintenant, respectivement, au décryptage.
1. V1 désigne le débit du fluide de travail dans la canalisation d'alimentation (non seulement l'eau, mais aussi la vapeur peuvent agir comme une source d'énergie thermique, ce qui est typique).
2. V2 est le débit du fluide de travail dans la conduite "retour".
3. T est un indicateur de la température d'un liquide froid.
4. Т1 - température de l'eau dans la canalisation d'alimentation.
5. T2 - indicateur de température, qui est observé à la sortie.
6. Enfin, Q est la même quantité d'énergie thermique.
Il convient également de noter que le calcul de Gcal pour le chauffage dans ce cas à partir de plusieurs désignations:
- énergie thermique qui est entrée dans le système (mesurée en calories);
- indicateur de température lors de l'évacuation du fluide de travail par la canalisation «retour».
La procédure de détermination de la quantité d'énergie thermique. Chemin estimé. - Zhkhportal.rf
RÈGLES DE COMPTABILITÉ COMMERCIALE DE L'ÉNERGIE THERMIQUE, PORTEUR DE CHALEUR
IV. La procédure de détermination de la quantité d'énergie thermique fournie, caloporteur aux fins de leur comptage commercial, y compris par calcul
110. La quantité d'énergie thermique, caloporteur fournie par la source d'énergie thermique, aux fins de leur comptabilité commerciale, est déterminée comme la somme des quantités d'énergie thermique, caloporteur pour chaque canalisation (alimentation, retour et appoint). ). 111. La quantité d'énergie thermique, liquide de refroidissement reçue par le consommateur est déterminée par l'organisme fournisseur d'énergie en fonction des relevés de l'unité de comptage du consommateur pour la période de facturation. 112. Si, pour déterminer la quantité d'énergie calorifique fournie (consommée), caloporteur aux fins de leur comptabilité commerciale, il est nécessaire de mesurer la température de l'eau froide à la source d'énergie thermique, il est permis d'entrer la température spécifiée dans le calculateur sous la forme d'une constante avec recalcul périodique de la quantité d'énergie thermique consommée, en tenant compte de la température réelle de l'eau froide. Il est permis de saisir une valeur nulle de la température de l'eau froide tout au long de l'année. 113. La valeur de la température réelle est déterminée: a) pour le caloporteur - par un seul organisme de fourniture de chaleur sur la base des données sur les valeurs mensuelles moyennes réelles de la température de l'eau froide à la source de chaleur fournie par les propriétaires sources d'énergie, qui sont les mêmes pour tous les consommateurs de chaleur dans les limites du système de fourniture de chaleur. La fréquence de recalcul est déterminée dans le contrat; b) pour l'eau chaude - par l'organisme exploitant le point de chauffage central, sur la base de mesures de la température réelle de l'eau froide devant les chauffe-eau. La fréquence de l'attribution est déterminée dans le contrat. 114.La détermination de la quantité d'énergie thermique fournie (reçue), caloporteur aux fins du comptage commercial de l'énergie thermique, caloporteur (y compris par calcul) est effectuée conformément à la méthodologie de comptage commercial de l'énergie thermique, caloporteur approuvé par le Ministère de la construction et du logement et des services communaux de la Fédération de Russie (ci-après - technique). Conformément à la méthodologie, on réalise: a) l'organisation du comptage commercial à la source d'énergie calorifique, caloporteur et dans les réseaux de chaleur; b) la détermination de la quantité d'énergie thermique, caloporteur aux fins de leur comptabilité commerciale, y compris: la quantité d'énergie thermique, caloporteur, libérée par la source d'énergie thermique, caloporteur; la quantité d'énergie thermique et la masse (volume) du liquide de refroidissement reçues par le consommateur; la quantité d'énergie thermique, caloporteur consommé par le consommateur lors de l'absence de comptage commercial de l'énergie calorifique, caloporteur selon les dispositifs de comptage; c) détermination de la quantité d'énergie thermique, caloporteur par calcul pour le raccordement via un point de chauffage central, un point de chaleur individuel, à partir de sources d'énergie thermique, caloporteur, ainsi que pour d'autres méthodes de raccordement; d) détermination par calcul de la quantité d'énergie thermique, caloporteur à consommation non contractuelle d'énergie thermique; e) détermination de la répartition des pertes d'énergie thermique, caloporteur; f) lorsque les compteurs fonctionnent pendant une période de facturation incomplète, ajuster la consommation d'énergie thermique par calcul pendant l'absence de relevés conformément à la méthodologie. 115. En l'absence d'appareils de mesure ou d'appareils de mesure aux points de mesure pendant plus de 15 jours de la période de facturation, la quantité d'énergie thermique consommée pour le chauffage et la ventilation est déterminée par calcul et repose sur le recalcul de l'indicateur de référence de l'évolution de température de l'air extérieur pendant toute la période de facturation. 116. La valeur de la charge thermique spécifiée dans l'accord de fourniture de chaleur est prise comme indicateur de base. 117. L'indicateur de base est recalculé en fonction de la température quotidienne moyenne réelle de l'air extérieur pour la période de facturation, prise en fonction des données d'observations météorologiques de la station météorologique la plus proche de l'objet de consommation de chaleur de l'autorité exécutive territoriale exerçant les fonctions de rendre des services publics dans le domaine de l'hydrométéorologie. Si pendant la période de coupure du programme de température dans le réseau de chauffage à des températures de l'air extérieur positives, il n'y a pas de régulation automatique de l'apport de chaleur pour le chauffage, et également si la coupure du programme de température est effectuée pendant la période de basses températures extérieures, la valeur de la température de l'air extérieur est prise égale à la température spécifiée au début du graphique de coupure. Avec le contrôle automatique de la fourniture de chaleur, la valeur réelle de la température spécifiée au début de la coupure du graphique est adoptée. 118. En cas de dysfonctionnement des compteurs, l'expiration de leur période de vérification, y compris la mise hors service pour réparation ou vérification pendant une période maximale de 15 jours, la quantité quotidienne moyenne d'énergie thermique, liquide de refroidissement, déterminée par comptage appareils pendant une période de temps, est considérée comme un indicateur de base pour le calcul de l'énergie thermique, le fonctionnement normal du liquide de refroidissement pendant la période de rapport, réduit à la température extérieure estimée. 119. En cas de non-respect des délais de présentation des relevés des appareils, la quantité d'énergie thermique, le liquide de refroidissement, déterminée par les compteurs pour la période de facturation précédente, ramenée à la température de l'air extérieur calculée, est prise comme l'indicateur quotidien moyen.Si la période de facturation précédente tombe sur une autre période de chauffage ou s'il n'y a pas de données pour la période précédente, la quantité d'énergie thermique, caloporteur est recalculée conformément au paragraphe 121 des présentes règles. 120. La quantité d'énergie thermique, caloporteur consommée pour l'alimentation en eau chaude, en présence de compteurs séparés et de dysfonctionnement temporaire des appareils (jusqu'à 30 jours), est calculée en fonction de la consommation réelle déterminée par les compteurs pour la période précédente. 121. En l'absence de comptage séparé ou en cas de non-fonctionnement des appareils pendant plus de 30 jours, la quantité d'énergie thermique, caloporteur consommée pour la fourniture d'eau chaude est supposée être égale aux valeurs établies dans le contrat de fourniture de chaleur. (la quantité de charge thermique pour l'alimentation en eau chaude). 122. Lors de la détermination de la quantité d'énergie thermique, caloporteur, la quantité d'énergie thermique fournie (reçue) en cas de situation d'urgence est prise en compte. Les situations anormales comprennent: a) le fonctionnement du compteur de chaleur lorsque le débit du liquide de refroidissement est inférieur au minimum ou supérieur à la limite maximale du débitmètre; b) fonctionnement du compteur de chaleur lorsque la différence de température du liquide de refroidissement est inférieure à la valeur minimale fixée pour le compteur de chaleur correspondant; c) défaillance fonctionnelle; d) un changement du sens d'écoulement du liquide de refroidissement, si une telle fonction n'est pas spécialement incorporée dans le compteur de chaleur; e) manque d'alimentation électrique du compteur de chaleur; f) manque de liquide de refroidissement. 123. Les périodes suivantes de fonctionnement anormal des appareils de mesure devraient être déterminées dans le compteur de chaleur: a) la durée de tout dysfonctionnement (accident) des instruments de mesure (y compris un changement de direction du débit de liquide de refroidissement) ou d'autres appareils de mesure unité qui rend impossible la mesure de l'énergie thermique; b) heure d'absence d'alimentation électrique; c) le temps d'absence d'eau dans la canalisation. 124. Si le compteur de chaleur a une fonction de détermination du temps pendant lequel il n'y a pas d'eau dans la canalisation, le temps d'absence d'eau est attribué séparément et la quantité d'énergie thermique pour cette période n'est pas calculée. Dans d'autres cas, le temps d'absence d'eau est inclus dans la durée de la situation d'urgence. 125. La quantité de caloporteur (énergie thermique) perdue en raison des fuites est calculée dans les cas suivants: a) les fuites, y compris les fuites sur les réseaux du consommateur vers l'unité de comptage, sont identifiées et formalisées par des documents conjoints (actes bilatéraux); b) la quantité de fuite enregistrée par le compteur d'eau lors de l'alimentation de systèmes indépendants dépasse la norme. 126. Dans les cas spécifiés au paragraphe 125 du présent règlement, la valeur de fuite est déterminée comme la différence entre les valeurs absolues des valeurs mesurées sans tenir compte des erreurs. Dans d'autres cas, la quantité de fuite de liquide de refroidissement déterminée dans l'accord de fourniture de chaleur est prise en compte. 127. La masse du caloporteur consommée par tous les consommateurs d'énergie thermique et perdue en tant que fuite dans tout le système de fourniture de chaleur à partir de la source d'énergie thermique est déterminée comme la masse du caloporteur consommée par la source d'énergie thermique pour alimenter toutes les canalisations. des réseaux de chauffe-eau, moins les coûts intra-station pour les besoins propres lors de la production d'énergie électrique et dans la production d'énergie thermique, pour les besoins de production et économiques des installations de cette source et les pertes technologiques intra-station par les canalisations, les unités et appareil dans les limites de la source.
_____________________________________
—
Célibataire 1
Foyer et coeur Flare, flare, flap, flare, flare. Bientôt et ainsi de suite.Bourgogne, écorce de bouleau, bouleau Huile de minuit Bonne chance. une
Soucoupe, soucoupe, soucoupe Alimentation électrique. une
Agitation, agitation, agitation RÉ. Paresseux, l. RÉ. Donc on, on, on, on, on off, on, on, off, on, off, on, on, out, on, off, on, Lµ. une
Nourriture et boisson. une
Soucoupe et soucoupe. une
Soucoupe, soucoupe, soucoupe Bridging
| Enfichable enfichable enfichable. une |
Choucroute 11 jeune arbre 1 jeune arbre 1 jeune arbre 1 sardine Bourgogne, bouleau, écorce, écorce Lokl lokl lokl lokl. une
Contact Bourgogne. une
Écorce de bouleau de Bourgogne LOOK. une
Soucoupe, inclinaison, inclinaison, inclinaison, inclinaison, inclinaison, inclinaison B & b, b & b, b & b, b & b ± вР· Ð ° имно ÑвÑÐ · Ð ° Ð½Ñ Ð¼ÐμжÐ'Ñ ÑоР± ой. une
| Confus, confus, confus, confus, confus. une |
Bourgogne bordeaux "е гÐ". une
Bourgogne bordeaux bordeaux Bumpy, cahoteux, cahoteux, cahoteux, cahoteux. une
| Bourgogne une |
Autres méthodes de calcul de la quantité de chaleur
Il est possible de calculer la quantité de chaleur entrant dans le système de chauffage d'autres manières.
La formule de calcul du chauffage dans ce cas peut différer légèrement de ce qui précède et avoir deux options:
- Q = ((V1 * (T1 - T2)) + (V1 - V2) * (T2 - T)) / 1000.
- Q = ((V2 * (T1 - T2)) + (V1 - V2) * (T1 - T)) / 1000.
Toutes les valeurs de variable dans ces formules sont les mêmes qu'auparavant.
Sur cette base, il est prudent de dire que le calcul des kilowatts de chauffage peut être effectué vous-même. Cependant, n'oubliez pas de consulter les organisations spéciales chargées de fournir de la chaleur aux habitations, car leurs principes et leur système de règlement peuvent être complètement différents et consister en un ensemble de mesures complètement différent.


Après avoir décidé de concevoir un système dit de "plancher chaud" dans une maison privée, vous devez être préparé au fait que la procédure de calcul de la quantité de chaleur sera beaucoup plus compliquée, car dans ce cas, vous devez prendre en compte non seulement les caractéristiques du circuit de chauffage, mais également les paramètres du réseau électrique à partir duquel le sol sera chauffé.Dans le même temps, les organisations responsables du contrôle de ces travaux d'installation seront complètement différentes.
De nombreux propriétaires sont souvent confrontés au problème de la conversion du nombre requis de kilocalories en kilowatts, ce qui est dû à l'utilisation de nombreuses unités de mesure auxiliaires dans le système international appelé "C". Ici, vous devez vous rappeler que le coefficient de conversion des kilocalories en kilowatts sera de 850, c'est-à-dire qu'en termes plus simples, 1 kW équivaut à 850 kcal. Cette procédure de calcul est beaucoup plus facile, car il ne sera pas difficile de calculer la quantité requise de giga calories - le préfixe «giga» signifie «million», donc 1 giga calorie équivaut à 1 million de calories.
Afin d'éviter les erreurs de calcul, il est important de se rappeler qu'absolument tous les compteurs de chaleur modernes comportent des erreurs, souvent dans des limites acceptables. Le calcul d'une telle erreur peut également être effectué indépendamment à l'aide de la formule suivante: R = (V1 - V2) / (V1 + V2) * 100, où R est l'erreur du compteur de chauffage général de la maison
V1 et V2 sont les paramètres du débit d'eau dans le système déjà mentionnés ci-dessus, et 100 est le coefficient responsable de la conversion de la valeur obtenue en pourcentage. Conformément aux normes opérationnelles, l'erreur maximale tolérée peut être de 2%, mais ce chiffre dans les appareils modernes ne dépasse généralement pas 1%.
Menu principal
Bonjour chers amis! Dans un article précédent, j'ai regardé comment la demande de chaleur d'une installation de chauffage est calculée par année, ventilée par mois. L'article d'aujourd'hui porte sur la manière dont les volumes de chaleur consommés par l'organisme fournisseur d'énergie sont définis en l'absence de compteurs chez le consommateur, mais s'il existe un compteur commercial à la station de chauffage central (point de chauffage central) de l'organisme fournisseur d'énergie. . Dans ce cas, le calcul de l'énergie thermique consommée est effectué conformément à l'article n ° 6 «Méthodes de détermination de la quantité d'énergie thermique et de caloporteur dans les systèmes d'eau de l'approvisionnement en chaleur municipale», approuvé par arrêté du Comité national de la construction de Russie du 06.05.2000 n ° 105 En d'autres termes, selon la méthodologie Roskommunenergo.
La quantité d'énergie thermique en l'absence de compteurs chez le consommateur est déterminée comme la différence entre la quantité d'énergie thermique fournie et déterminée par les compteurs des consommateurs qui ont des compteurs. Cette différence, diminuée des déperditions thermiques dans les réseaux depuis le compteur de la source de chaleur (chaufferie, cogénération) jusqu'à la limite du bilan du système de consommation de chaleur, est répartie entre les consommateurs qui ne disposent pas de compteurs, en tenant tenir compte du coefficient de distribution du chauffage et du coefficient de distribution de l'eau d'appoint proportionnel à leurs charges thermiques de conception contractuelles. C'est ce qu'on appelle la méthode d'équilibre ou de chaudière pour la distribution de la chaleur.
L'apport de chaleur réel pour un (j -ème consommateur) spécifique sera:
Qfact = ((Qp fact-Qgvs) / ∑Qj calc) * Qj calc + Qt.pr. + Qgvcj = kq * Qj calc + Qt.pr. + Qgvcj;
où kq = Qp fact-Qgvs / ∑Qj calc.
kq est le coefficient proportionnel de la distribution pour le chauffage et la ventilation (la ventilation n'est prise en compte que s'il y a une charge sur la ventilation),
Qр fact - apport de chaleur réel par la source de chaleur (moins les pertes dans les réseaux de l'organisme fournisseur d'énergie) et consommation de chaleur des consommateurs avec compteurs, Gcal.
∑Qj calc est la quantité totale de chaleur estimée (contractuelle) pour le chauffage et la ventilation des consommateurs connectés sans compteurs, en tenant compte des pertes dans les réseaux des consommateurs, Gcal.
Qj calc est la quantité de chaleur estimée (contractuelle) pour le chauffage et la ventilation, déterminée en tenant compte des pertes dans les réseaux du j-ème consommateur, Gcal.
Qut.pr. - pertes d'énergie thermique avec fuites productives d'un consommateur spécifique (déterminées par des actes).
Je pense que la théorie est suffisante, mais comment est calculée et réglée exactement la quantité réelle d'énergie thermique consommée pour le chauffage (sans charge sur l'alimentation en eau chaude, pertes avec fuite et charge sur la ventilation) pour un mois civil, en l'absence de un compteur de chaleur. C'est-à-dire pour un consommateur qui n'a pas de sections du réseau de chauffage au bilan et qui n'a pas de charge sur l'approvisionnement en eau chaude et la ventilation. Et il est considéré ici selon la formule suivante:
Qtop.mois = Qtope * Nhour * (Tin.air - Tout.air) / (Tin.air - Calc.heater) * kq, Gcal.
Où:
Qotop - charge de chauffage de l'objet, Gcal / heure,
Nhours - le nombre d'heures de fonctionnement du système par mois,
Tout.air - température mensuelle moyenne de l'air extérieur, ° C,
Tvn.air - température de l'air intérieur dans la pièce, généralement 20 ° C, pour les bâtiments (pas d'angle)
Chaleur suivie - acceptée selon SP 131.13330.2012, version mise à jour du SNiP 23-01-99 "Climatologie de la construction"
kq - coefficient de proportionnalité de la distribution pour le chauffage par la station de chauffage central.
Comme vous pouvez le voir, dans cette formule à partir des données, le coefficient kq est le plus difficile, et vous ne pourrez probablement pas le calculer vous-même, il n'y aura pas assez de données initiales pour le calcul. Par conséquent, vous devez prendre la parole de l'organisation fournisseur d'énergie. C'est selon cette méthodologie que les volumes d'énergie thermique consommés sont calculés et mis à la disposition du consommateur, en l'absence de compteur de chaleur. À première vue, ce calcul semble compliqué, mais lorsque vous le lisez et le fouillez, il devient, en principe, clair ce qui est calculé et comment.
Je serais heureux de commenter l'article.

